【药物名称】
化学结构式(Chemical Structure):
参考文献No.532044
标题:AZT-5'-(p-bromophenyl methoxyalaninyl phosphate) as a potent and non-toxic anti-human immunodeficiency virus agent
作者:Jan, S.T.; Zhu, Z.; Tai, H.L.; Shih, M.J.; Venkatachalam, T.K.; Uckun, F.M.
来源:Antivir Chem Chemother 1999,10(1),47
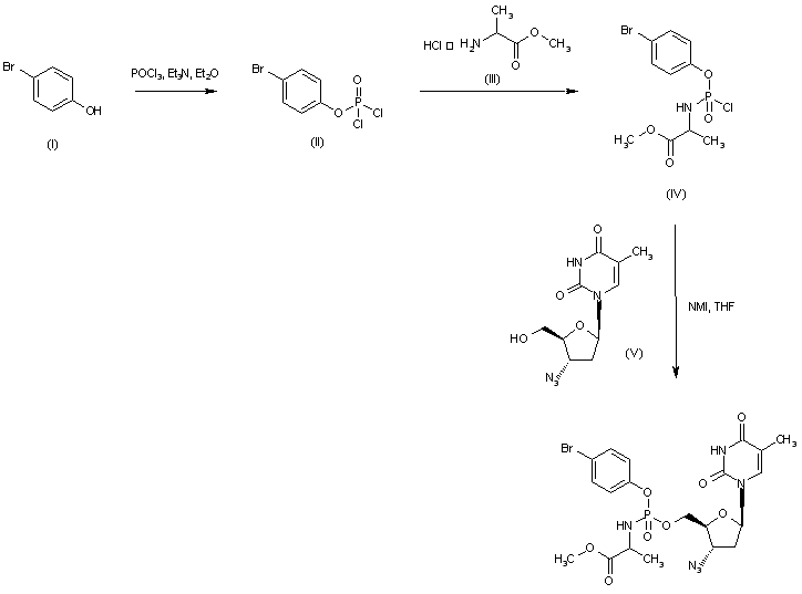
合成路线图解说明:

Treatment of p-bromophenol (I) with phosphoryl chloride and triethylamine furnished p-bromophenyl phosphorodichloridate (II), which was condensed with alanine methyl ester (III) to give the intermediate phosphorochloridate (IV). Then, coupling of chloridate (IV) with azidothimidine (V) in the presence of N-methylimidazole yielded the title compound.

Drug Information Express,Drug R&D,Chemical Database,Patent Search.
Copyright © 2006-2026 Drug Future. All rights reserved.Contact Us