【药物名称】N-2733
化学结构式(Chemical Structure):
参考文献No.39348
标题:Pyrrolidinone derivs.
作者:Nagasaka, T.; Yamada, H.; Hamaguchi, F. (Nisshin Flour Milling Co., Ltd.)
来源:JP 1990225458
合成路线图解说明:

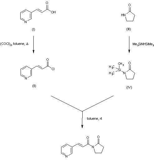
Treatment of 3-(3-pyridyl)acrylic acid (I) with oxalyl chloride afforded the corresponding acid chloride (II). This was coupled with 1-trimethylsilyl-2-pyrrolidinone (IV) (prepared from pyrrolidinone (III) and hexamethyldisilazane), to produce the target imide.

参考文献No.534925
标题:Synthesis of 1-trans-cinnamoyl- and 1-[trans-3-(pyridyl)acryloyl]-2-pyrrolidinone derivatives and their effect on hemicholinium-induced impairment of water maze learning in mice
作者:Nagasaka, T.; Momose, K.; Hamaguchi, F.; Yamada, K.; Yamada, H.; Suzuki, Y.
来源:Yakugaku Zasshi 1992,112(2),100
合成路线图解说明:

Treatment of 3-(3-pyridyl)acrylic acid (I) with oxalyl chloride afforded the corresponding acid chloride (II). This was coupled with 1-trimethylsilyl-2-pyrrolidinone (IV) (prepared from pyrrolidinone (III) and hexamethyldisilazane), to produce the target imide.

Drug Information Express,Drug R&D,Chemical Database,Patent Search.
Copyright © 2006-2026 Drug Future. All rights reserved.Contact Us