【药物名称】REC-15/3079
化学结构式(Chemical Structure):
参考文献No.38434
标题:1-(N-Phenylaminoalkyl)-piperazine derivs. substd. at position 2 of the phenyl ring
作者:Leonardi, A.; Motta, G.; Testa, R.; Riva, C. (Recordati Industria Chimica e Farmaceutica SpA)
来源:EP 1000047; JP 2001512112; US 6399614; WO 9906384
合成路线图解说明:

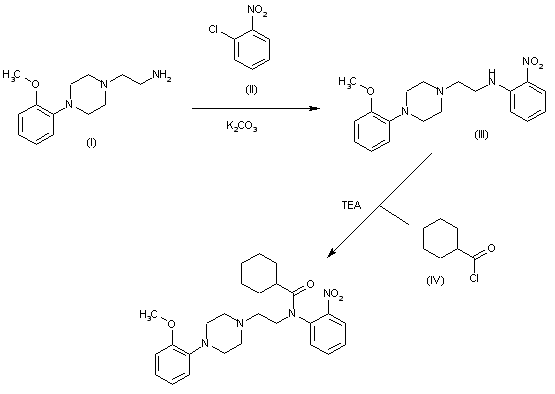
The condensation of 1-(2-aminoethyl)-4-(2-methoxyphenyl)piperazine (I) with 2-chloronitrobenzene (II) by means of K2CO3 in refluxing butanol gives 1-(2-methoxyphenyl)-4-[2-(2-nitrophenylamino)ethyl]piperazine (III), which is finally condensed with cyclohexylcarbonyl chloride (IV) by means of TEA in dichloroethane to afford the target amide.

Drug Information Express,Drug R&D,Chemical Database,Patent Search.
Copyright © 2006-2026 Drug Future. All rights reserved.Contact Us