【药物名称】MBT
化学结构式(Chemical Structure):
参考文献No.27894
标题:Method for treating 5HT2B receptor related conditions
作者:Audia, J.E.; Cohen, M.L.; Gidda, J.S.; Nelson, D.L.G.; Baker, S.R.; Ezquerra-Carrera, J.; Lamas-Peteira, C.; Pedregal-Tercero, C. (Eli Lilly and Company)
来源:EP 0749313; JP 1997510216; US 5663178; WO 9524200; WO 9624351
合成路线图解说明:

Diazotization of 4-tert-butylaniline (I) with NaNO2 and HCl, followed by reduction of the resulting diazonium salt with SnCl2 provided hydrazine (II). Fisher indolization with 4-chlorobutyraldehyde (IV), (obtained by hydrogenation of acid chloride (III)), then afforded tryptamine (V). In an alternative procedure, 4-phthalimidobutyraldehyde diethyl acetal (VIII) was prepared by treatment of amine (VI) with N-carbethoxyphthalimide (VII). Fisher reaction of (VII) with hydrazine (II) produced the (phthalimidoethyl)indole (IX), which was deprotected with hydrazine to furnish the corresponding tryptamine (V). Subsequent condensation of (V) with di-tert-butyl dicarbonate gave carbamate (X). This was finally reduced by means of LiAlH4 providing the target N-methyl tryptamine.

合成路线图解说明:

Diazotization of 4-tert-butylaniline (I) with NaNO2 and HCl, followed by reduction of the resulting diazonium salt with SnCl2 provided hydrazine (II). Fisher indolization with 4-chlorobutyraldehyde (IV), (obtained by hydrogenation of acid chloride (III)), then afforded the target tryptamine. In an alternative procedure, 4-phthalimidobutyraldehyde diethyl acetal (VII) was prepared by treatment of amine (V) with N-carbethoxyphthalimide (VI). Fisher reaction of (VII) with hydrazine (II) produced the (phthalimidoethyl)indole (VIII), which was deprotected with hydrazine to furnish the corresponding tryptamine.

合成路线图解说明:

Diazotization of 4-tert-butylaniline (I) with NaNO2 and HCl, followed by reduction of the resulting diazonium salt with SnCl2 provided hydrazine (II). Fisher indolization with 4-chlorobutyraldehyde (IV), (obtained by hydrogenation of acid chloride (III)), then afforded tryptamine (V). In an alternative procedure, 4-phthalimidobutyraldehyde diethyl acetal (VIII) was prepared by treatment of amine (VI) with N-carbethoxyphthalimide (VII). Fisher reaction of (VII) with hydrazine (II) produced the (phthalimidoethyl)indole (IX), which was deprotected with hydrazine to furnish the corresponding tryptamine (V). Finally, dimethylation of (V) by means of methyl methanesulfonate provided the target N,N-dimethyl tryptamine.

参考文献No.46341
标题:Intermediates to tetrahydro-beta-carbolines
作者:Audia, J.E.; et al. (Eli Lilly and Company)
来源:US 5635528
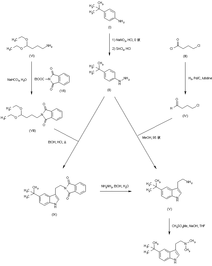
合成路线图解说明:

Diazotization of 4-tert-butylaniline (I) with NaNO2 and HCl, followed by reduction of the resulting diazonium salt with SnCl2 provided hydrazine (II). Fisher indolization with 4-chlorobutyraldehyde (IV), (obtained by hydrogenation of acid chloride (III)), then afforded tryptamine (V). In an alternative procedure, 4-phthalimidobutyraldehyde diethyl acetal (VIII) was prepared by treatment of amine (VI) with N-carbethoxyphthalimide (VII). Fisher reaction of (VII) with hydrazine (II) produced the (phthalimidoethyl)indole (IX), which was deprotected with hydrazine to furnish the corresponding tryptamine (V). Subsequent condensation of (V) with di-tert-butyl dicarbonate gave carbamate (X). This was finally reduced by means of LiAlH4 providing the target N-methyl tryptamine.

合成路线图解说明:

Diazotization of 4-tert-butylaniline (I) with NaNO2 and HCl, followed by reduction of the resulting diazonium salt with SnCl2 provided hydrazine (II). Fisher indolization with 4-chlorobutyraldehyde (IV), (obtained by hydrogenation of acid chloride (III)), then afforded the target tryptamine. In an alternative procedure, 4-phthalimidobutyraldehyde diethyl acetal (VII) was prepared by treatment of amine (V) with N-carbethoxyphthalimide (VI). Fisher reaction of (VII) with hydrazine (II) produced the (phthalimidoethyl)indole (VIII), which was deprotected with hydrazine to furnish the corresponding tryptamine.

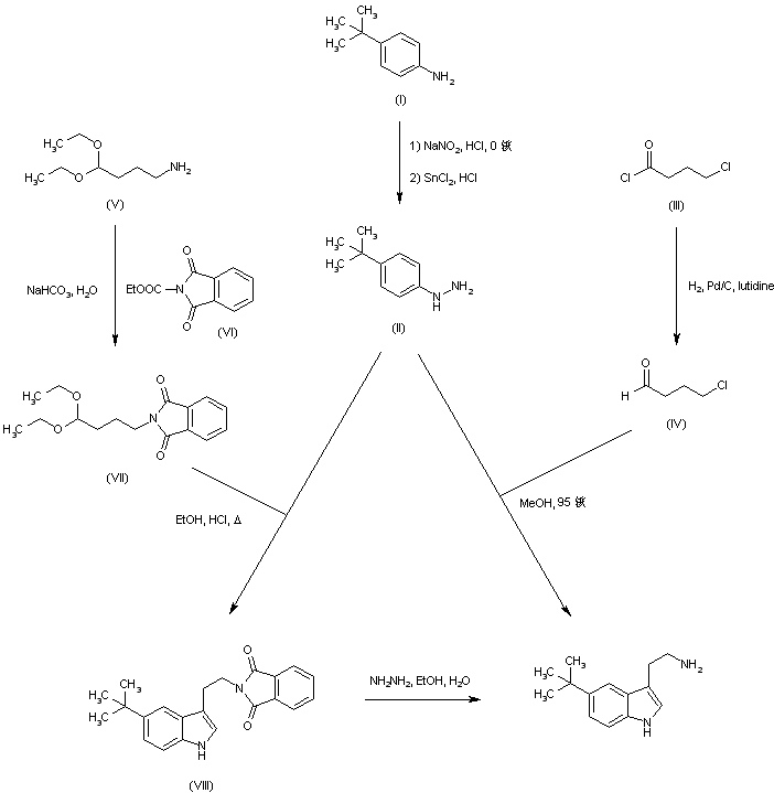
合成路线图解说明:

Diazotization of 4-tert-butylaniline (I) with NaNO2 and HCl, followed by reduction of the resulting diazonium salt with SnCl2 provided hydrazine (II). Fisher indolization with 4-chlorobutyraldehyde (IV), (obtained by hydrogenation of acid chloride (III)), then afforded tryptamine (V). In an alternative procedure, 4-phthalimidobutyraldehyde diethyl acetal (VIII) was prepared by treatment of amine (VI) with N-carbethoxyphthalimide (VII). Fisher reaction of (VII) with hydrazine (II) produced the (phthalimidoethyl)indole (IX), which was deprotected with hydrazine to furnish the corresponding tryptamine (V). Finally, dimethylation of (V) by means of methyl methanesulfonate provided the target N,N-dimethyl tryptamine.

参考文献No.523556
标题:N-Methyl-5-tert-butyltryptamine: A novel, highly potent 5-HT1D receptor agonist
作者:Xu, Y.-C.; Schaus, J.M.; Walker, C.; Krushinski, J.; Adhamm, N.; Zgombick, J.M.; Liang, S.X.; Kohlman, D.T.; Audia, J.E.
来源:J Med Chem 1999,42(3),526
合成路线图解说明:

Diazotization of 4-tert-butylaniline (I) with NaNO2 and HCl, followed by reduction of the resulting diazonium salt with SnCl2 provided hydrazine (II). Fisher indolization with 4-chlorobutyraldehyde (IV), (obtained by hydrogenation of acid chloride (III)), then afforded tryptamine (V). In an alternative procedure, 4-phthalimidobutyraldehyde diethyl acetal (VIII) was prepared by treatment of amine (VI) with N-carbethoxyphthalimide (VII). Fisher reaction of (VII) with hydrazine (II) produced the (phthalimidoethyl)indole (IX), which was deprotected with hydrazine to furnish the corresponding tryptamine (V). Subsequent condensation of (V) with di-tert-butyl dicarbonate gave carbamate (X). This was finally reduced by means of LiAlH4 providing the target N-methyl tryptamine.

合成路线图解说明:

Diazotization of 4-tert-butylaniline (I) with NaNO2 and HCl, followed by reduction of the resulting diazonium salt with SnCl2 provided hydrazine (II). Fisher indolization with 4-chlorobutyraldehyde (IV), (obtained by hydrogenation of acid chloride (III)), then afforded the target tryptamine. In an alternative procedure, 4-phthalimidobutyraldehyde diethyl acetal (VII) was prepared by treatment of amine (V) with N-carbethoxyphthalimide (VI). Fisher reaction of (VII) with hydrazine (II) produced the (phthalimidoethyl)indole (VIII), which was deprotected with hydrazine to furnish the corresponding tryptamine.

合成路线图解说明:

Diazotization of 4-tert-butylaniline (I) with NaNO2 and HCl, followed by reduction of the resulting diazonium salt with SnCl2 provided hydrazine (II). Fisher indolization with 4-chlorobutyraldehyde (IV), (obtained by hydrogenation of acid chloride (III)), then afforded tryptamine (V). In an alternative procedure, 4-phthalimidobutyraldehyde diethyl acetal (VIII) was prepared by treatment of amine (VI) with N-carbethoxyphthalimide (VII). Fisher reaction of (VII) with hydrazine (II) produced the (phthalimidoethyl)indole (IX), which was deprotected with hydrazine to furnish the corresponding tryptamine (V). Finally, dimethylation of (V) by means of methyl methanesulfonate provided the target N,N-dimethyl tryptamine.

Drug Information Express,Drug R&D,Chemical Database,Patent Search.
Copyright © 2006-2026 Drug Future. All rights reserved.Contact Us