【药物名称】MEN-11575
化学结构式(Chemical Structure):
参考文献No.523552
标题:A new class of pseudopeptide antagonists of the kinin B1 receptor containing alkyl spacers
作者:Galoppini, C.; Meini, S.; Tancredi, M.; Di Fenza, A.; Triolo, A.; Quartara, L.; Maggi, C.A.; Formaggio, F.; Toniolo, C.; Mazzucco, S.; Papini, A.; Rovero, P.
来源:J Med Chem 1999,42(3),409
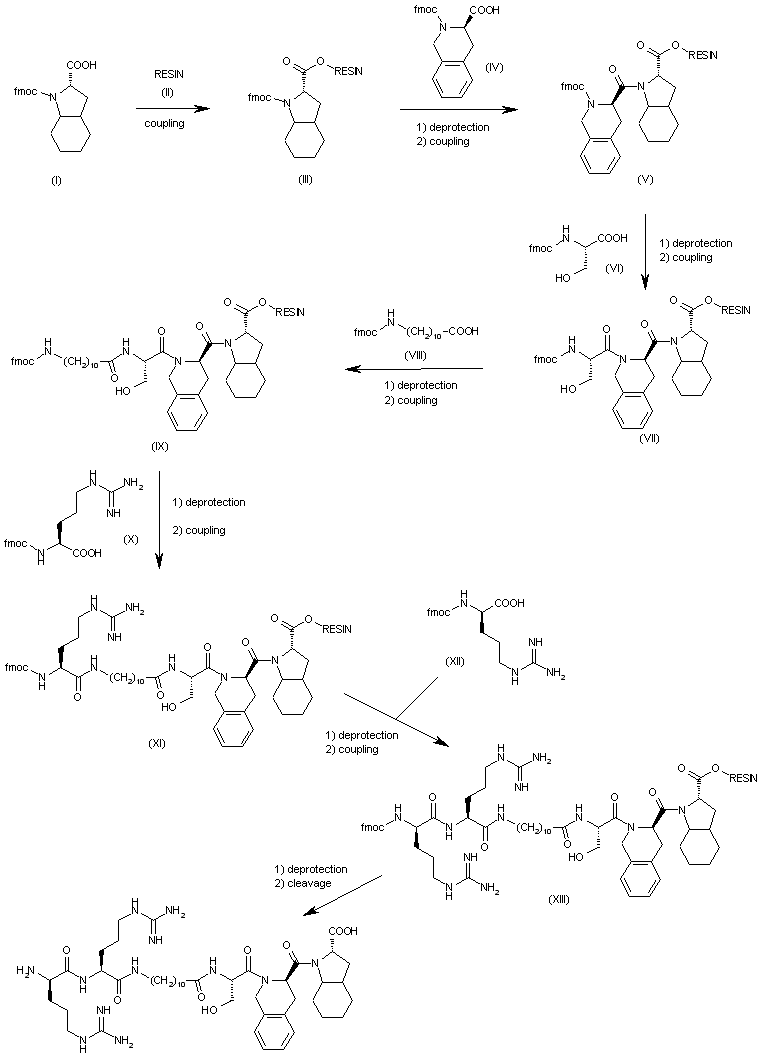
合成路线图解说明:

This pseudopeptide has been synthesized by the solid phase method using a 2-chlorotrityl chloride resin (II) and doing successive cycles of deprotection and coupling with the protected amino acids or pseudoamino acids (I), (IV), (VI), (VIII), (X), and (XII), yielding successively the resins (III), (V), (VII), (IX), (XI) and (XIII). Finally, the last resin (XIII) is deprotected as usual and the peptide cleaved form the resin with TFA, phenol, thioanisole and ethanedithiol.

Drug Information Express,Drug R&D,Chemical Database,Patent Search.
Copyright © 2006-2026 Drug Future. All rights reserved.Contact Us