【药物名称】
化学结构式(Chemical Structure):
参考文献No.523551
标题:Design of antineoplastic agents based on the "2-phenylnaphthalene-type" structural pattern. 4. Synthesis and biological activity of 2-chloro-3-(substituted phenoxy)-1,4-naphthoquinones and related 5,8-dihydroxy-1,4-naphthoquinones
作者:Chang, H.-X.; Chou, T.C.; Savaraj, N.; Liu, L.F.; Yu, C.; Cheng, C.C.
来源:J Med Chem 1999,42(3),405
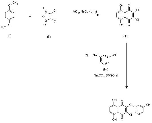
合成路线图解说明:

Friedel Crafts condensation of p-dimethoxybenzene (I) with dichloromaleic anhydride (II) in a molten mixture of AlCl3 and NaCl yielded dichloronaphthazarin (III). Finally, treatment of (III) with resorcinol (IV) and Na2CO3 in DMSO at room temperature furnished the target compound.

合成路线图解说明:

Friedel Crafts condensation of p-dimethoxybenzene (I) with dichloromaleic anhydride (II) in a molten mixture of AlCl3 and NaCl yielded dichloronaphthazarin (III). Subsequent methylation of (III) with CH3I in the presence of Ag2O in CHCl3 gave a mixture of dimethoxy naphthoquinones (IV) and (V), from which the desired isomer (IV) was isolated by recrystallization from CHCl3-CCl4. Finally, treatment of (IV) with 3-methoxyphenol (VI) and Na2CO3 in DMSO at room temperature furnished the target compound.

合成路线图解说明:

Friedel Crafts condensation of p-dimethoxybenzene (I) with dichloromaleic anhydride (II) in a molten mixture of AlCl3 and NaCl yielded dichloronaphthazarin (III). Subsequent methylation of (III) with CH3I in the presence of Ag2O in CHCl3 gave a mixture of dimethoxy naphthoquinones (IV) and (V), from which the desired isomer (IV) was isolated by recrystallization from CHCl3-CCl4. Finally, treatment of (IV) with 3,5-dimethoxyphenol (VI) and Na2CO3 in DMSO at room temperature furnished the target compound.

Drug Information Express,Drug R&D,Chemical Database,Patent Search.
Copyright © 2006-2026 Drug Future. All rights reserved.Contact Us