【药物名称】[123I]-IDAM
化学结构式(Chemical Structure):
参考文献No.523547
标题:A new single-photon emission computed tomography imaging agent for serotonin transporters: [123I]IDAM, 5-iodo-2-((2-((dimethylamino)methyl)phenyl)thio)benzyl alcohol
作者:Oya, S.; Kung, M.-P.; Acton, P.D.; Mu, M.; Hou, C.; Kung, H.F.
来源:J Med Chem 1999,42(3),333
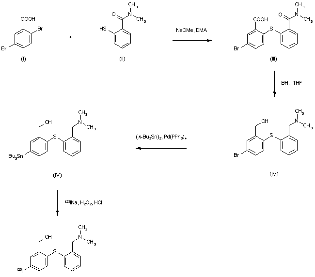
合成路线图解说明:

Coupling of 2,5-dibromobenzoic acid (I) with 2-sulfanyl-N,N-dimethylbenzamide (II) in the presence of sodium methoxide provided diaryl sulfide (III). Reduction of carboxylate and amide functions of (II) by means of borane in THF produced aminoalcohol (IV). Subsequent reaction of (IV) with bis(tributyltin) employing a palladium(0) catalyst gave the tributylstannyl derivative (IV). This was finally converted to the radioiodinated compound upon reaction with [123I] sodium iodide and hydrogen peroxide.

Drug Information Express,Drug R&D,Chemical Database,Patent Search.
Copyright © 2006-2026 Drug Future. All rights reserved.Contact Us