【药物名称】
化学结构式(Chemical Structure):
参考文献No.523545
标题:Benzofuro[3,2-b]pyridines as mixed ETA/ETB and selective ETB endothelin receptor antagonists
作者:Mederski, W.K.R.; Oswald, M.; Dorsch, D.; Christadler, M.; Schmitges, C.J.; Wilm, C.
来源:Bioorg Med Chem Lett 1999,9(4),619
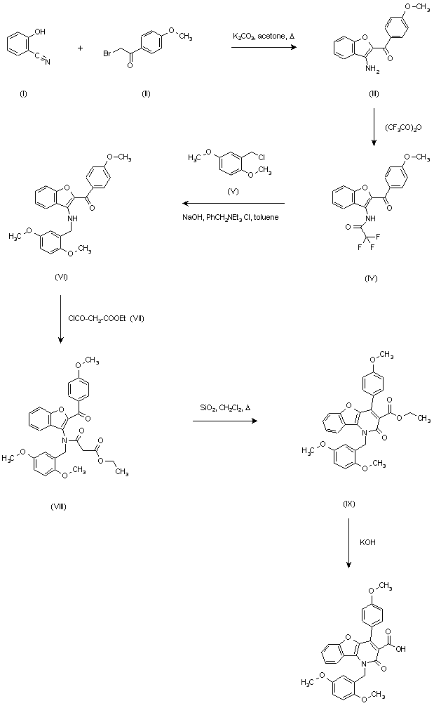
合成路线图解说明:

2-Cyanophenol (I) was condensed with 2-bromo-4'-methoxyacetophenone (II) in the presence of K2CO3 in acetone to give aminobenzofuran (III). This was acylated with trifluoroacetic anhydride, and the resulting trifluoroacetamide (IV) was alkylated with 2,5-dimethoxybenzyl chloride (V) under phase-transfer conditions to afford monobenzylated compound (VI). The benzofuro[3,2-b]pyridine nucleus was formed by acylation of the secondary amine group of (VI) with ethyl malonyl chloride (VII) to give (VIII) followed by an intramolecular Knoevenagel condensation over silica gel in refluxing CH2Cl2 to give (IX). Alkaline hydrolysis of the ester function of (IX) then provided the corresponding carboxylic acid.

Drug Information Express,Drug R&D,Chemical Database,Patent Search.
Copyright © 2006-2026 Drug Future. All rights reserved.Contact Us