【药物名称】
化学结构式(Chemical Structure):
参考文献No.523544
标题:Sialidase inhibitors related to zanamivir: Synthesis and biological evaluation of 4H-pyran 6-ether and ketone
作者:Smith, P.W.; Robinson, J.E.; Evans, D.N.; Sollis, S.L.; Howes, P.D.; Trivedi, N.; Bethell, R.C.
来源:Bioorg Med Chem Lett 1999,9(4),601
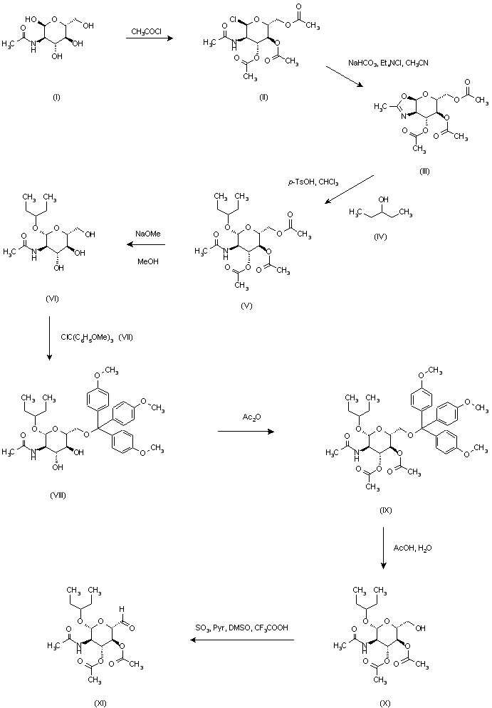
合成路线图解说明:

Chlorination and acetylation of N-acetyl glucosamine (I) with acetyl chloride afforded intermediate (II), which was cyclized to the oxazoline (III) with NaHCO3 and tetraethylammonium chloride. Opening of this heterocycle by treatment with 3-pentanol (IV) in the presence of p-toluenesulfonic acid yielded the b-glucoside (V). The primary hydroxyl group of (V) was subsequently deprotected by the following sequence, consisting of hydrolysis of the acetate esters with NaOMe in MeOH to give triol (VI), followed by protection of the primary alcohol as the trityl ether (VIII), acetylation of the secondary alcohols of (VIII), and finally deprotection of the trityl group with aqueous AcOH giving finally (X). Swern oxidation of the resulting primary alcohol (X) using DMSO and SO3-pyridine produced aldehyde (XI).

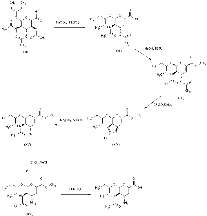
合成路线图解说明:

Aldehyde (XI) was further converted to unsaturated acid (XII) with sodium chlorite and sulfamic acid. Acid (XII) was converted to methyl ester (XIII) by treatment with N,N,N',N'-tetramethyl-O-(benzotriazol-1-yl)uronium tetrafluoroborate (TBTU) and MeOH, and then cyclized to oxazoline (XIV) using trimethylsilyl triflate. Opening of the oxazoline (XIV) with trimethylsilyl azide in tert-butanol gave azide (XV), together with its epimer. Reduction of azide (XV) with SnCl2 gave amine (XVI). Finally, hydrolysis of the methyl ester of (XVI) with aqueous triethylamine afforded the target carboxylic acid.

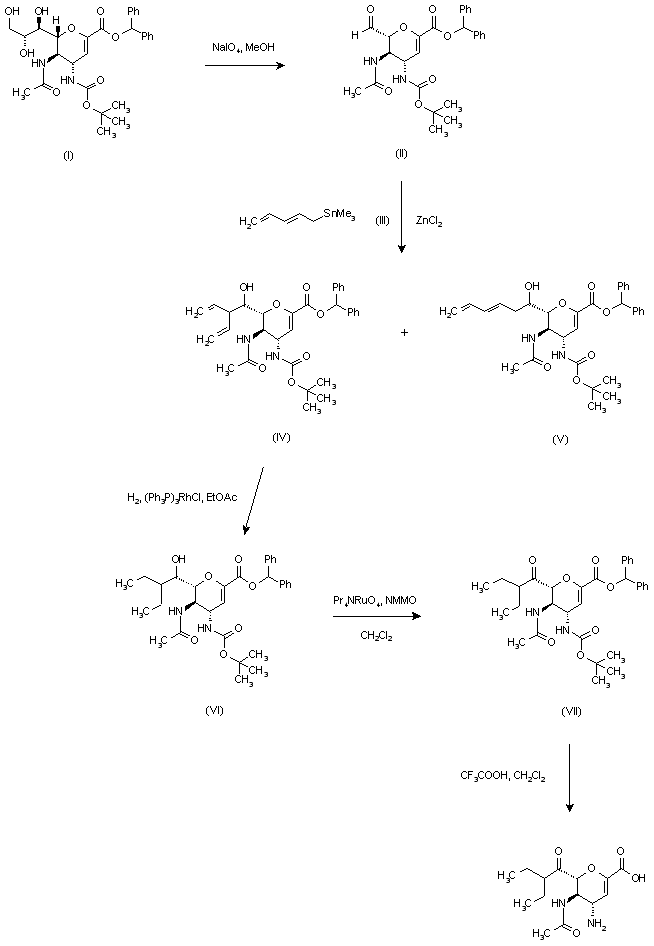
合成路线图解说明:

Oxidative cleavage of triol (I) with sodium periodate gave aldehyde (II). Subsequent homologation of (II) with pentadienyl stannane (III) in the presence of ZnCl2 yielded a mixture of regioisomeric diene adducts (IV) and (V). The required isomer was hydrogenated using Wilkinson's catalyst to produce the saturated intermediate (VI). This was oxidized to ketone (VII) with tetrapropylammonium perruthenate and N-methylmorpholine-N-oxide, and then hydrolyzed to the title carboxylic acid with trifluoroacetic acid in CH2Cl2.

Drug Information Express,Drug R&D,Chemical Database,Patent Search.
Copyright © 2006-2026 Drug Future. All rights reserved.Contact Us