【药物名称】
化学结构式(Chemical Structure):
参考文献No.523541
标题:Syntheses and biological activities of bis(3-indolyl)thiazoles, analogues of marine bis(indole)alkaloid nortopsentins
作者:Gu, X,H.; Wan, X.Z.; Jiang, B.
来源:Bioorg Med Chem Lett 1999,9(4),569
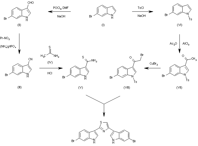
合成路线图解说明:

By cyclization of 6-bromo-1H-indole-3-carbothioamide (V) with 6-bromo-3-(2-bromoacetyl)-1-tosyl-1H-indole (VIII) in refluxing ethanol, followed by elimina-tion of the tosyl protecting group with NaOH in refluxing methanol. The intermediates 6-bromo-1H-indole-3-carbothioamide (V) and 6-bromo-3-(2-bromoacetyl)-1-tosyl-1H-indole (VIII) have been obtained as follows: 6-Bromo-1H-indole-3-carbothioamide (V): The reaction of 6-bromoindole (I) with POCl3 and DMF, followed by hydrolysis with NaOH in refluxing water gives 6-bomoindole-3-carbaldehyde (II), which is treated with propyl nitrite and diammonium phosphate in refluxing acetic acid to yield the nitrile (III). Finally, the reaction of (III) with thioacetamide and HCl in refluxing DMF affords the interme-diate carbothioamide (V). 6-Bromo-3-(2-bromoacetyl)-1-tosyl-1H-indole (VIII): The protection of 6-bromoindole (I) with tosyl chloride and NaOH in toluene/water gives the 6-bromo-1-tosylindole (VI), which is acetylated with acetic anhydride and AlCl3 in dichloro-methane yielding the 3-acetyl derivative (VII). Finally, the bromination of (VII) with CuBr2 in refluxing ethyl acetate/chloroform affords the target 3-(bromoacetyl) derivative (VIII).

Drug Information Express,Drug R&D,Chemical Database,Patent Search.
Copyright © 2006-2026 Drug Future. All rights reserved.Contact Us