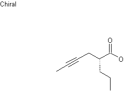
【药物名称】ABS-103R, R-ABS-103, R-103
化学结构式(Chemical Structure):
参考文献No.39396
标题:VPA-analogous antiepileptics
作者:Hauck, R.-S.; Elmazar, M.M.E.; Nau, H.; Bojic, U.
来源:DE 4231085; US 5786380; WO 9406743
合成路线图解说明:

The alkylation of diethyl n-propylmalonate (I) with 1-bromo-2-butyne (II) in the presence of ethanolic NaOEt afforded the dialkyl malonate (III). Subsequent saponification of the ethyl esters of (III) with KOH gave the corresponding malonic acid (IV), which was decarboxylated at 180 C to yield the title compound.

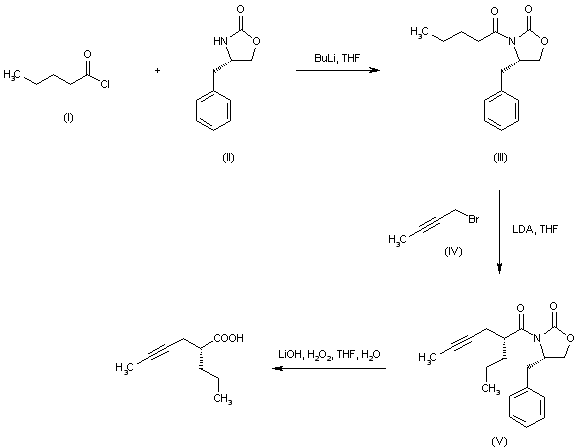
合成路线图解说明:

Condensation of pentanoyl chloride (I) with (S)-4-benzyl-2-oxazolidinone (II) in the presence of n-butyllithium afforded the chiral N-acyl oxazolidinone (III). Subsequent asymetric alkylation of (III) with 1-bromo-2-butyne (IV) using LDA as the base produced the alkylated diastereoisomer (V). The chiral auxiliary oxazolidinone was finally removed by hydrolysis with lithium hydroperoxide to afford the required (R)-carboxylic acid.

Drug Information Express,Drug R&D,Chemical Database,Patent Search.
Copyright © 2006-2026 Drug Future. All rights reserved.Contact Us