【药物名称】
化学结构式(Chemical Structure):
参考文献No.488737
标题:Potent, orally bioavailable somatostatin agonists: Good absorption achieved by urea backbone cyclization
作者:Pasternak, A.; Pan, Y.; Marino, D.; Sanderson, P.E.; Mosley, R.; Rohrer, S.P.; Birzin, E.T.; Huskey, S.E.; Jacks, T.; Schleim, K.D.; Cheng, K.; Schaeffer, J.M.; Patchett, A.A.; Yang, L.
来源:Bioorg Med Chem Lett 1999,9(3),491
合成路线图解说明:

Treatment of (Boc)-beta-methyltryptophan (I) with SOCl2 and MeOH produced beta-methyltryptophan methyl ester (II). 3,3-Diphenylpropylamine (III) was protected with Boc2O and then alkylated with allyl bromide in the presence of potassium hexamethyldisilazide to afford (IV). Further ozonization of the allyl double bond of (IV) generated the aminoaldehyde (V). Amino ester (II) was reductively alkylated with aldehyde (V) in the presence of NaBH3CN to yield the protected diamine (VI). After acid deprotection of the Boc group of (VI), the resulting diamine (VII) was converted to imidazolinone (VIII) upon treatment with phosgene and diisopropylethylamine. Subsequent hydrolysis of the methyl ester of (VIII) gave carboxylic acid (IX).

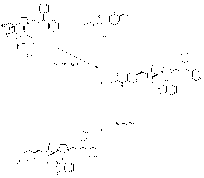
合成路线图解说明:

Coupling of (IX) with monoprotected diamine (X) by means of EDC and HOBt to furnish amide (XI). Finally, deprotecion of the amino group of (XI) afforded the title compound.

Drug Information Express,Drug R&D,Chemical Database,Patent Search.
Copyright © 2006-2026 Drug Future. All rights reserved.Contact Us