【药物名称】Salicylihalamide B
化学结构式(Chemical Structure):
参考文献No.615947
标题:Enantioselective total synthesis of salicylihalamides A and B
作者:Labrecque, D.; et al.
来源:Tetrahedron Lett 2001,42(14),2645
合成路线图解说明:

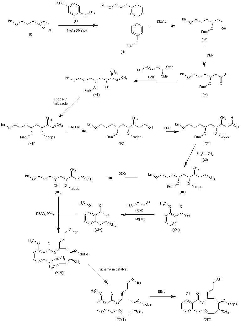
The reaction of the chiral epoxide (I) with 4-methoxybenzaldehyde (II) by means of NaAl(OMe)3H in THF gives the 1,3-dioxane (III), which is opened by reduction with DIBAL in dichloromethane to yield the chiral benzyl ether (IV). The oxidation of the primary alcohol of (IV) with DMP in dichloromethane affords the corresponding aldehyde (V), which is condensed with the boronate (VI) and S,S-diisopropyl tartrate in toluene to provide the unsaturated alcohol (VII).The protection of (VII) with Tbdps-Cl and imidazole yields the fully protected triol (VIII), which is oxidized at the terminal double bond with 9-BBN in THF to give the primary alcohol (IX). The oxidation of (IX) with DMP in dichloromethane affords the aldehyde (X), which is condensed with methylenetriphenylphosphorane (XI) in THF to provide the terminal olefin (XII). Elimination of the Pmb protecting group of (XII) with DDQ in dichloromethane gives the alcohol (XIII), which is esterified with 2-allyl-6-methoxybenzoic acid (XIV)(obtained by allylation of 2-methoxybenzoic acid (XV) with allyl bromide (XVI), BuLi and MgBr2) by means of DEAD and PPh3 yielding the ester (XVII). The cyclization of (XVII) by means of a metathesis reaction catalyzed by a ruthenium catalyst in refluxing dichloromethane affords the bicyclic lactone (XVIII), which is treated with BBr3 in dichloromethane to provide the dihydroxylated lactone (XIX).

合成路线图解说明:

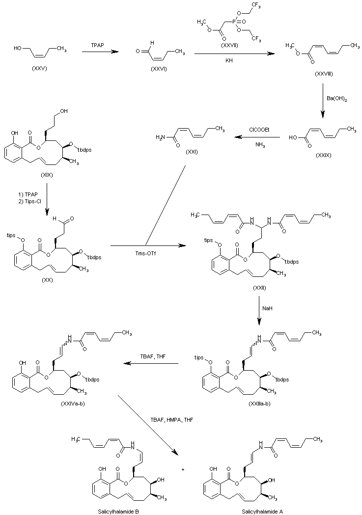
The oxidation of the primary alcohol of (XIX) with TPAP and NMO in dichloromethane gives the corresponding aldehyde (XX), which is condensed with (Z,Z)-2,4-heptadienamide (XXI) by means of Tms-OTf in dichloroethane to yield the N,N-acylated aminal (XXII). This compound undergoes elimination when treated with NaH in hot trifluoromethylbenzene affording enamide (XXIII) as a mixture of (Z) and (E) isomers, which is treated with TBAF in THF undergoing elimination of the Tips protecting group only and providing the monosilylated compound (XXIV). Removal of the remaining silyl group requires more drastic conditions (TBAF in THF/HMPA) that cause isomerization of the enamide double bond yielding a mixture of the target compound Salicylhalamide A along with its isomer Salicylhalamide B that are separated by HPLC chromatography. The intermediate (Z,Z)-2,4-heptadienamide (XXI) has been obtained as follows: The oxidation of (Z)-2-penten-1-ol (XXV) with TPAP and NMO in dichloromethane gives the corresponding aldehyde (XXVI), which is condensed with phosphonate (XXVII) by means of KH in THF to yield methyl (Z,Z)-2,4-heptadienoate (XXVIII). The hydrolysis of (XXVIII) with Ba(OH)2 in methanol/water affords (Z,Z)-2,4-heptadienoic acid (XXIX), which is finally treated with ethyl chloroformate and ammonia to provide the target amide (XXI).

合成路线图解说明:

The reaction of the chiral epoxide (I) with 4-methoxybenzaldehyde (II) by means of NaAl(OMe)3H in THF gives the 1,3-dioxane (III), which is opened by reduction with DIBAL in dichloromethane to yield the chiral benzyl ether (IV). The oxidation of the primary alcohol of (IV) with DMP in dichloromethane affords the corresponding aldehyde (V), which is condensed with the boronate (VI) and S,S-diisopropyl tartrate in toluene to provide the unsaturated alcohol (VII).The protection of (VII) with Tbdps-Cl and imidazole yields the fully protected triol (VIII), which is oxidized at the terminal double bond with 9-BBN in THF to give the primary alcohol (IX). The oxidation of (IX) with DMP in dichloromethane affords the aldehyde (X), which is condensed with methylenetriphenylphosphorane (XI) in THF to provide the terminal olefin (XII). Elimination of the Pmb protecting group of (XII) with DDQ in dichloromethane gives the alcohol (XIII), which is esterified with 2-allyl-6-methoxybenzoic acid (XIV)(obtained by allylation of 2-methoxybenzoic acid (XV) with allyl bromide (XVI), BuLi and MgBr2) by means of DEAD and PPh3 yielding the ester (XVII). The cyclization of (XVII) by means of a metathesis reaction catalyzed by a ruthenium catalyst in refluxing dichloromethane affords the bicyclic lactone (XVIII), which is treated with BBr3 in dichloromethane to provide the dihydroxylated lactone (XIX).

合成路线图解说明:

The oxidation of the primary alcohol of (XIX) with TPAP and NMO in dichloromethane gives the corresponding aldehyde (XX), which is condensed with (Z,Z)-2,4-heptadienamide (XXI) by means of Tms-OTf in dichloroethane to yield the N,N-acylated aminal (XXII). This compound undergoes elimination when treated with NaH in hot trifluoromethylbenzene affording enamide (XXIII) as a mixture of (Z) and (E) isomers, which is treated with TBAF in THF undergoing elimination of the Tips protecting group only and providing the monosilylated compound (XXIV). Removal of the remaining silyl group requires more drastic conditions (TBAF in THF/HMPA) that cause isomerization of the enamide double bond yielding a mixture of the target compound Salicylhalamide A along with its isomer Salicylhalamide B that are separated by HPLC chromatography. The intermediate (Z,Z)-2,4-heptadienamide (XXI) has been obtained as follows: The oxidation of (Z)-2-penten-1-ol (XXV) with TPAP and NMO in dichloromethane gives the corresponding aldehyde (XXVI), which is condensed with phosphonate (XXVII) by means of KH in THF to yield methyl (Z,Z)-2,4-heptadienoate (XXVIII). The hydrolysis of (XXVIII) with Ba(OH)2 in methanol/water affords (Z,Z)-2,4-heptadienoic acid (XXIX), which is finally treated with ethyl chloroformate and ammonia to provide the target amide (XXI).

Drug Information Express,Drug R&D,Chemical Database,Patent Search.
Copyright © 2006-2026 Drug Future. All rights reserved.Contact Us