【药物名称】Cefuroxime, Zinacef
化学结构式(Chemical Structure):
参考文献No.47583
标题:7-Hydrocarbonoxyiminoacetamido-3-carbamoyloxy methylceph-3-em-4 carboxylic acids
作者:Cook, M.C.; et al. (Glaxo Group Ltd.)
来源:US 3974153
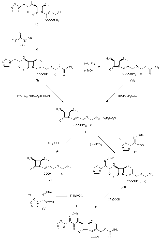
合成路线图解说明:

Compound can be prepared by several related ways: 1) The reaction of diphenylmethyl (6R,7R)-3-hydroxymethyl-7-(2-thienylacetamido)ceph-3-em-4-carboxylate (I) with trichloroacetyl isocyanate (A) in anhydrous acetone gives the corresponding N-trichloroacetylcarbamate (II), which by reaction with PCl5 and pyridine in CH2Cl2 and then with p-toluenesulfonic acid affords diphenylmethyl 7-amino-3-carbamoyloxymethylceph-3-em-4-carboxylate p-toluenesulfonic acid salt (III). The hydrolysis of (III) with trifluoroacetic acid in anisole yields the corresponding acid (IV), which is finally condensed with 2-(2-furyl)-2-methoxyiminoacetic acid (V) by means of PCl5 and N,N-dimethylacetamide in acetonitrile containing triethylamine. 2) The elimination of the protecting groups of compound (II) can also be performed stepwise with isolation of the intermediate p-toluenesulfonic salt (VI). 3) The deprotected compound (III) can also be treated first with NaHCO3 and then condensed with the acetic acid (V) by means of dicyclohexylcarbodiimide in CH2Cl2 to give the diphenvimethyl ester (VII), which is finally hydrolyzed with trifluoroacetic acid.

参考文献No.800565
标题:Cefuroxime
作者:Loren, J.G.; Casta馿r, J.
来源:Drugs Fut 1978,3(4),266
合成路线图解说明:

Compound can be prepared by several related ways: 1) The reaction of diphenylmethyl (6R,7R)-3-hydroxymethyl-7-(2-thienylacetamido)ceph-3-em-4-carboxylate (I) with trichloroacetyl isocyanate (A) in anhydrous acetone gives the corresponding N-trichloroacetylcarbamate (II), which by reaction with PCl5 and pyridine in CH2Cl2 and then with p-toluenesulfonic acid affords diphenylmethyl 7-amino-3-carbamoyloxymethylceph-3-em-4-carboxylate p-toluenesulfonic acid salt (III). The hydrolysis of (III) with trifluoroacetic acid in anisole yields the corresponding acid (IV), which is finally condensed with 2-(2-furyl)-2-methoxyiminoacetic acid (V) by means of PCl5 and N,N-dimethylacetamide in acetonitrile containing triethylamine. 2) The elimination of the protecting groups of compound (II) can also be performed stepwise with isolation of the intermediate p-toluenesulfonic salt (VI). 3) The deprotected compound (III) can also be treated first with NaHCO3 and then condensed with the acetic acid (V) by means of dicyclohexylcarbodiimide in CH2Cl2 to give the diphenvimethyl ester (VII), which is finally hydrolyzed with trifluoroacetic acid.

Drug Information Express,Drug R&D,Chemical Database,Patent Search.
Copyright © 2006-2026 Drug Future. All rights reserved.Contact Us