【药物名称】1346W95
化学结构式(Chemical Structure):
参考文献No.39104
标题:Pharmacologically active cpds. and use
作者:Boros, E.; Harfenist, M.; Heyer, D. (Krenitsky Pharmaceuticals, Inc.)
来源:WO 9812190
合成路线图解说明:

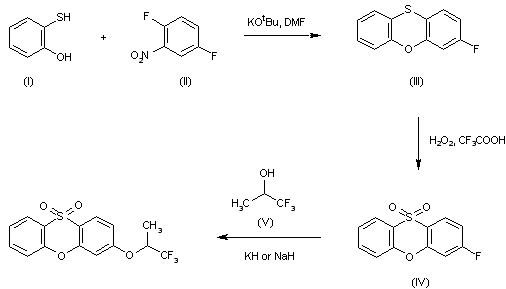
The condensation of 2-hydroxythiophenol (I) with 2,5-difluoronitrobenzene (II) in the presence of potassium tert-butoxide in DMF afforded 3-fluorophenoxathiin (III), which was oxidized to the sulfone (IV) using H2O2 and trifluoroacetic acid. Displacement of the fluorine atom of (IV) by 1,1,1-trifluoro-2-propanol (V) employing either KH in DMF or NaH in DMA then furnished the title compound.

合成路线图解说明:

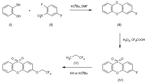
The condensation of 2-hydroxythiophenol (I) with 2,5-difluoronitro-benzene (II) in the presence of potassium tert-butoxide in DMF afforded 3-fluorophenoxathiin (III), which was oxidized to the sulfone (IV) using H2O2 and trifluoroacetic acid. Displacement of the fluorine atom of (IV) by 2,2,2-trifluoroethanol (V) employing either KH in DMF or KOt-Bu in acetonitrile then furnished the title compound.

合成路线图解说明:

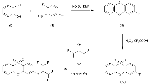
The condensation of 2-hydroxythiophenol (I) with 2,5-difluoronitro-benzene (II) in the presence of potassium tert-butoxide in DMF afforded 3-fluorophenoxathiin (III), which was oxidized to the sulfone (IV) using H2O2 and trifluoroacetic acid. Displacement of the fluorine atom of (IV) by 1,1,3,3-tetrafluoro-2-propanol (V) employing either KH in DMF or KOt-Bu in acetonitrile then furnished the title compound.

Drug Information Express,Drug R&D,Chemical Database,Patent Search.
Copyright © 2006-2026 Drug Future. All rights reserved.Contact Us