【药物名称】Edonentan hydrate, BMS-207940-02, BMS-207940(anhydrous)
化学结构式(Chemical Structure):
参考文献No.37142
标题:Endothelin antagonists: N-[[2'-[[4,5-dimethyl-3-isoxazolyl)amino]sulfonyl]-4-(2-oxazolyl) [1,1'-biphenyl]-2-yl]methyl]-N,3,3-trimethylbutanamide N-(4,5-dimethyl-3-isoxazolyl)-2'-[(3,3-dimethyl-2-oxo-1-pyrrolidinyl)methyl]-4'-(2-oxazolyl)[1,1'-biphenyl]-2-
作者:Barrish, J.C.; Murugesan, N.; Gu, Z.; Morrison, R.A. (Bristol-Myers Squibb Co.)
来源:EP 0996618; JP 2002513397; US 6043265; WO 9833780
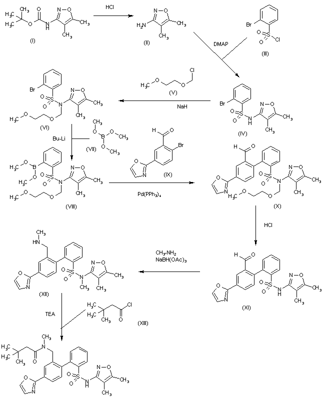
合成路线图解说明:

The hydrolysis of N-(4,5-dimethyl-3-isoxazolyl)carbamic acid tert-butyl ester (I) with HCl in dioxane gives the corresponding amine (II), which is condensed with 2-bromophenylsulfonyl chloride (III) by means of DMAP in pyridine to yield the sulfonamide (IV). The alkylation of (I) with 2-methoxyethoxymethyl chloride (V) and NaH in DMF affords the N,N-disubstituted sulfonamide (VI), which is treated with trimethyl borate (VII) and BuLi in THF to provide the boronate (VIII). The condensation of (VIII) with 2-bromo-5-(2-oxazolyl)benzaldehyde (IX) by means of palladium tetrakis(triphenylphosphine) in hot toluene/ethanol gives the biphenyl derivative (X), which is deprotected by means of HCl in refluxing ethanol/water to yield the sulfonamide (XI). The reductive amination of (XI) with methylamine and NaBH(OAc)3 in dichloromethane/HOAc affords the secondary amine (XII), which is finally acylated with 3,3-dimethylbutyryl chloride and TEA in dichloromethane to furnish the target diamide.

Drug Information Express,Drug R&D,Chemical Database,Patent Search.
Copyright © 2006-2026 Drug Future. All rights reserved.Contact Us