【药物名称】PF-9404C, PF-9404
化学结构式(Chemical Structure):
参考文献No.26318
标题:1-Aryloxy-3-alkylamino-2-propanol nitrate esters, the use thereof and corresponding pharmaceutical compsn.
作者:Prat Quinones, M.; Pi Sallent, J.; Vedrilla Veit, D. (Almirall Prodesfarma, SA)
来源:EP 0637583; JP 1995089910
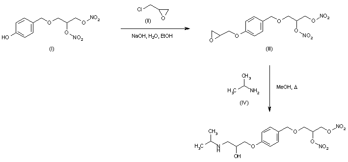
合成路线图解说明:

Alkylation of 4-[2,3-dinitroxy)propoxymethyl]phenol (I) with epichlorhydrin (II) in the presence of NaOH provided the corresponding epoxypropoxy derivative (III). Then, epoxide opening with isopropylamine (IV) in refluxing MeOH furnished the desired amino alcohol.

Drug Information Express,Drug R&D,Chemical Database,Patent Search.
Copyright © 2006-2026 Drug Future. All rights reserved.Contact Us