【药物名称】
化学结构式(Chemical Structure):
参考文献No.488723
标题:Synthesis and analgesic activity of some deaza derivatives of anpirtoline
作者:Proska, J.; R醖l, S.; Krejci, I.; Hezky, P.
来源:Arch Pharm 1999,332(1),13
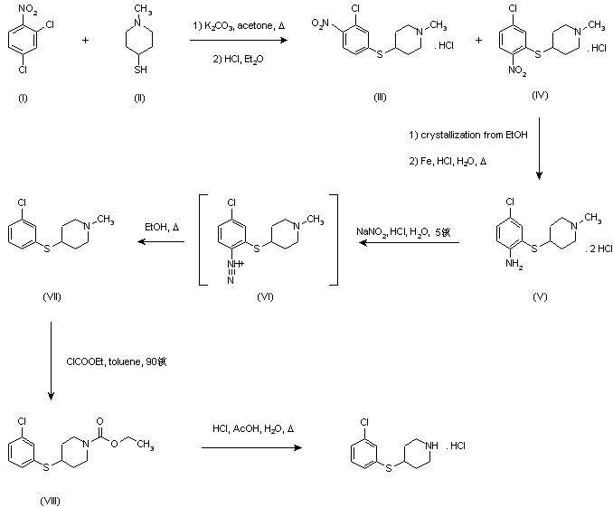
合成路线图解说明:

Nucleophilic substitution of 2,4-dichloronitrobenzene (I) with 1-methylpiperidin-4-thiol (II) in the presence of K2CO3 provided a mixture of sulfides (III) and (IV), from which the major isomer (IV) was isolated by crystallization from EtOH. The nitro group of (IV) was then reduced with iron under acidic conditions to the corresponding amine (V). Subsequent diazotization of (V) and reduction of the diazonium salt (VI) with EtOH led to the deaminated compound (VII). N-Demethylation of (VII) was achieved by treatment with ethyl chloroformate, yielding the N-ethoxycarbonyl derivative (VIII). Finally, acid hydrolysis of carbamate (VIII) provided the target amine, which was isolated as the hydrochloride salt.

Drug Information Express,Drug R&D,Chemical Database,Patent Search.
Copyright © 2006-2026 Drug Future. All rights reserved.Contact Us