【药物名称】AC-178335
化学结构式(Chemical Structure):
参考文献No.39032
标题:Peptides useful as somatostatin antagonists
作者:Houghten, R.A.; Baumbach, W.R. (American Cyanamid Co.)
来源:EP 0863156
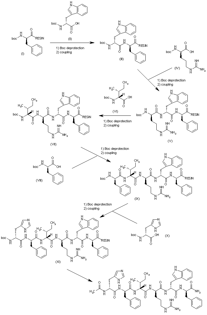
合成路线图解说明:

This peptide has been obtained by by the usual method of solid phase resin starting from N-Boc-protected D-phenylalanine coupled to a methylbenzhydryl amine polystyrene resin (I) by successive cycles of Boc deprotection and coupling. The amino acid used were successively, N-Boc-D-tryptophan (II), N-Boc-D-arginine (IV), N-Boc-D-isoleucine (VI), N-Boc-D-phenylalanine (VIII) and N-Boc-D-histidine (X), yielding the intermediate peptide-resins (III), (V), (VII), (IX), and (XI). Finally, this last intermediate was deprotected and cleaved from the resin with HF, acetylated at the N-terminus and amidated at the C-terminus using standard methods.

参考文献No.487857
标题:A linear hexapeptide somatostatin antagonist blocks somatostatin activity in vitro and influences growth hormone release in rats
作者:Baumbach, W.R.; Carrick, T.A.; Pausch, M.H.; Bingham, B.; Carmignac, D.; Robinson, I.C.A.F.; Houghten, R.; Eppler, C.M.; Price, L.A.; Zysk, J.R.
来源:Mol Pharmacol 1998,54(5),864
合成路线图解说明:

This peptide has been obtained by by the usual method of solid phase resin starting from N-Boc-protected D-phenylalanine coupled to a methylbenzhydryl amine polystyrene resin (I) by successive cycles of Boc deprotection and coupling. The amino acid used were successively, N-Boc-D-tryptophan (II), N-Boc-D-arginine (IV), N-Boc-D-isoleucine (VI), N-Boc-D-phenylalanine (VIII) and N-Boc-D-histidine (X), yielding the intermediate peptide-resins (III), (V), (VII), (IX), and (XI). Finally, this last intermediate was deprotected and cleaved from the resin with HF, acetylated at the N-terminus and amidated at the C-terminus using standard methods.

Drug Information Express,Drug R&D,Chemical Database,Patent Search.
Copyright © 2006-2026 Drug Future. All rights reserved.Contact Us