【药物名称】GW-3333
化学结构式(Chemical Structure):
参考文献No.37226
标题:Reverse hydroxamate derivs. as metalloprotease inhibitors
作者:Chan, J.H.; Bubacz, D.G.; Andersen, M.W.; McDougald, D.L.; Stanford, J.B.; Andrews, R.C.; Gaul, M.D.; Rabinowitz, M.H.; Musso, D.L.; Cowan, D.J.; Wiethe, R.W. (GlaxoSmithKline plc)
来源:EP 1019386; JP 2001513767; WO 9838179
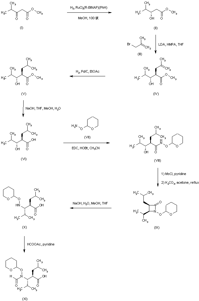
合成路线图解说明:

Catalytic hydrogenation of methyl isobutyrylacetate (I) in the presence of chiral ruthenium catalyst afforded the (S)-hydroxy ester (II). Subsequent alkylation of the lithium enolate of (II) with 3-bromo-2-methyl-1-propene (III) proceeded with diastereoselectivity, yielding (IV). The olefin double bond of (IV) was then hydrogenated over Pd/C to provide the saturated compound (V). After basic hydrolysis of the methyl ester group of (V), the resultant carboxylic acid (VI) was coupled to O-tetrahydropyranylhydroxylamine (VII) to furnish the tetrahydropyranyl-protected hydroxamate (VIII). Conversion of (VIII) into the corresponding mesylate, followed by cyclization under basic conditions, gave rise to the azetidinone (IX). Further azetidinone ring opening under conditions of basic hydrolysis generated the N-hydroxyaminoacid derivative (X). This was converted to the formamide (XI) upon treatment with formic acetic anhydride in pyridine.

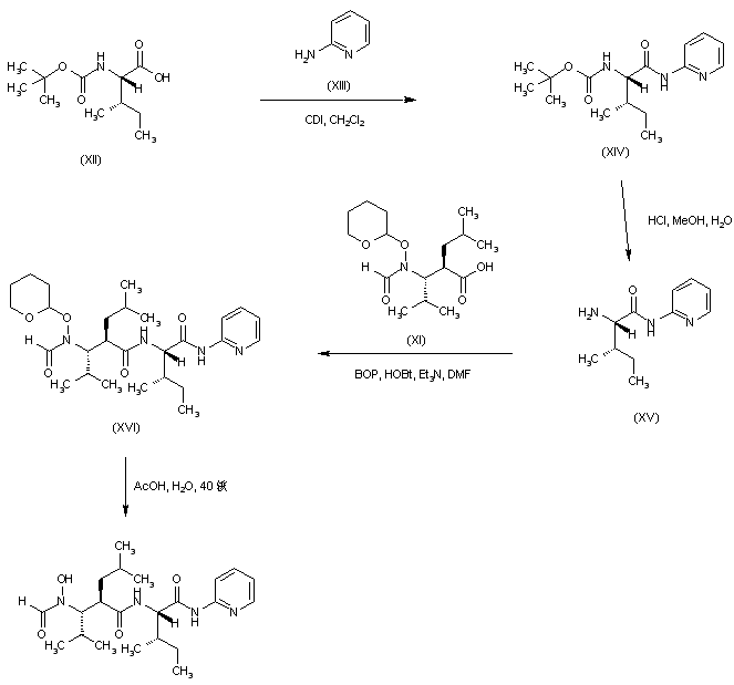
合成路线图解说明:

N-Boc-L-isoleucine (XII) was coupled to 2-aminopyridine (XIII) via activation with carbonyldiimidazole to give the corresponding amide (XIV). Subsequent acidic cleavage of the Boc protecting group of (XIV) afforded the amino amide (XV), which was further coupled with the intermediate acid (XI), yielding the dipeptide derivative (XVI). The tetrahydropyranyl group of (XVI) was finally removed by hydrolysis with 80% acetic acid.

Drug Information Express,Drug R&D,Chemical Database,Patent Search.
Copyright © 2006-2026 Drug Future. All rights reserved.Contact Us