【药物名称】
化学结构式(Chemical Structure):
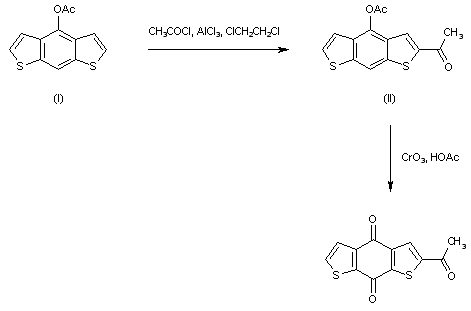
参考文献No.478947
标题:Synthesis and cytotoxicity of 2-acetyl-4,8-dihydrobenzodithiophene-4,8-dione derivatives
作者:Chao, Y.-H.; Kuo, S.-C.; Wu, C.-H.; Lee, C.-Y.; Mauger, A.; Sun, I.-C.; Morris-Natschke, S.L.; Lee, K.-H.
来源:J Med Chem 1998,41(23),4658
合成路线图解说明:

Friedel-Crafts acetylation of the known 4-acetoxybenzodithiophene (I) with acetyl chloride and AlCl3 produced ketone (II). Subsequent chromic acid oxidation of (II) in AcOH gave quinone (III). Reduction of the methyl ketone of (III) by means of NaBH4 in MeOH afforded alcohol (IV), which was finally acetylated using acetyl chloride to furnish the title acetate ester.

合成路线图解说明:

Friedel-Crafts acetylation of the known 4-acetoxybenzodithiophene (I) with acetyl chloride and AlCl3 produced ketone (II). Subsequent chromic acid oxidation of (II) in AcOH yielded the title quinone.

Drug Information Express,Drug R&D,Chemical Database,Patent Search.
Copyright © 2006-2026 Drug Future. All rights reserved.Contact Us