【药物名称】
化学结构式(Chemical Structure):
参考文献No.33903
标题:Thienoxazinone derivs. useful as antiviral agents
作者:Jarvest, R.L.; Jennings, L.J.A.; Pinto, I.L. (SmithKline Beecham plc)
来源:WO 9727200
合成路线图解说明:

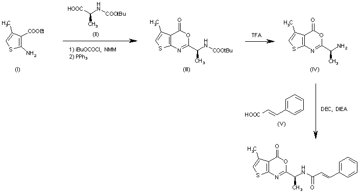
The coupling of 2-amino-4-methylthiophene-3-carboxylic acid ethyl ester (I) with N-(tert-butoxycarbonyl)-L-alanine (II) by means of isobutyl chloroformate and NMM, followed by cyclization with triphenylphosphine in CCl4 gives the thieno-oxazinone (III), which is deprotected with TFA yielding (IV) with a free amino group that is acylated with cinnamic acid by means of DEC and DIEA.

合成路线图解说明:

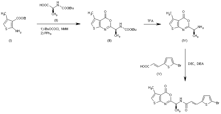
The coupling of 2-amino-4-methylthiophene-3-carboxylic acid ethyl ester (I) with N-(tert-butoxycarbonyl)-L-alanine (II) by means of isobutyl chloroformate and NMM, followed by cyclization with triphenylphosphine in CCl4 gives the thieno-oxazinone (III), which is deprotected with TFA yielding (IV) with a free amino group that is acylated with 3-(5-bromothien-2-yl)-2(E)-propenoic acid by means of DEC and DIEA.

合成路线图解说明:

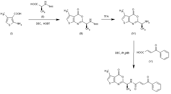
The cyclization of 2-amino-4-methylthiophene-3-carboxylic acid (I) with N-(tert-butoxycarbonyl)-L-alanine (II), by means of 1-[3-(dimethylamino)propyl]-3-ethylcarbodiimide (DEC) and HOBT in DMF gives the protected thienooxazinone (III), which is deprotected with trifluoroacetic acid in dichloro methane yielding 2-(1(S)-aminoethyl)-5-methyl-4H-thieno[2,3-d][1,3]oxazin-4-one (IV). Finally, this compound is acylated with 4-oxo-4-phenyl-2(E)-butenoic acid (VI) by means of DEC and diisopropylethylamine in DMF.

参考文献No.488733
标题:Inhibition of herpes proteases and antiviral activity of 2-substituted thieno[2,3-d]oxazinones
作者:Jarvest, R.L.; Pinto, I.L.; Ashman, S.M.; Dabrowski, C.E.; Fernandez, A.V.; Jennings, L.J.; Lavery, P.; Tew, D.G.
来源:Bioorg Med Chem Lett 1999,9(3),443
合成路线图解说明:

The coupling of 2-amino-4-methylthiophene-3-carboxylic acid ethyl ester (I) with N-(tert-butoxycarbonyl)-L-alanine (II) by means of isobutyl chloroformate and NMM, followed by cyclization with triphenylphosphine in CCl4 gives the thieno-oxazinone (III), which is deprotected with TFA yielding (IV) with a free amino group that is acylated with cinnamic acid by means of DEC and DIEA.

合成路线图解说明:

The coupling of 2-amino-4-methylthiophene-3-carboxylic acid ethyl ester (I) with N-(tert-butoxycarbonyl)-L-alanine (II) by means of isobutyl chloroformate and NMM, followed by cyclization with triphenylphosphine in CCl4 gives the thieno-oxazinone (III), which is deprotected with TFA yielding (IV) with a free amino group that is acylated with 3-(5-bromothien-2-yl)-2(E)-propenoic acid by means of DEC and DIEA.

Drug Information Express,Drug R&D,Chemical Database,Patent Search.
Copyright © 2006-2026 Drug Future. All rights reserved.Contact Us