【药物名称】
化学结构式(Chemical Structure):
参考文献No.488732
标题:Symmetrical anhydride-type serine protease inhibitors: Structure-activity relationship studies of human chymase inhibitors
作者:Iijima, K.; Katada, J.; Hayashi, Y.
来源:Bioorg Med Chem Lett 1999,9(3),413
合成路线图解说明:

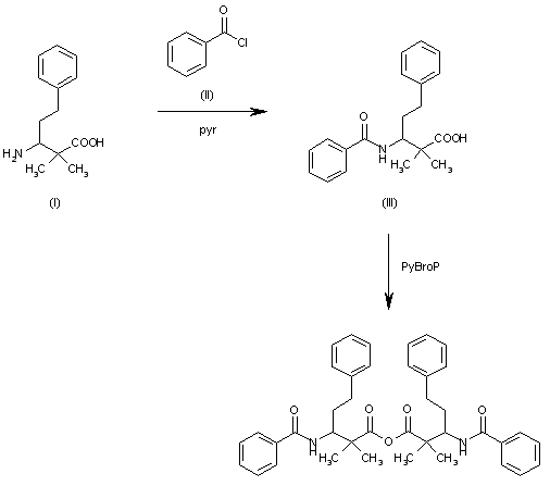
The acylation of 3-amino-2,2-dimethyl-5-phenylpentanoic acid (I) with benzoyl chloride (II) in pyridine gives the corresponding amide (III), which is finally converted into the target anhydride by reaction with bromo-tris-pyrrolidino-phosphonium hexafluorophosphate (PyBroP) and triethylamine in dichloromethane.

Drug Information Express,Drug R&D,Chemical Database,Patent Search.
Copyright © 2006-2026 Drug Future. All rights reserved.Contact Us