【药物名称】
化学结构式(Chemical Structure):
参考文献No.488728
标题:New selective nonsteroidal aromatase inhibitors: Synthesis and inhibitory activity of 2, 3 or 5-(alpha-azolylbenzyl)-1H-indoles
作者:Le Borgne, M.; Marchand, P.; Delevoye-Seiller, B.; Robert, J.M.; Le Baut, G.; Hartmann, R.W.; Palzer, M.
来源:Bioorg Med Chem Lett 1999,9(3),333
合成路线图解说明:

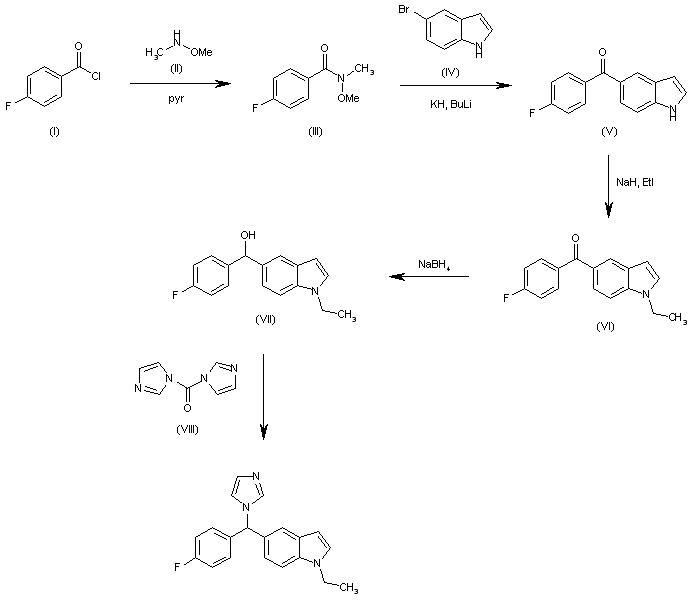
The reaction of 4-fluorobenzoyl chloride (I) with N,O-dimethylhydroxylamine (II) in pyridine gives the N-methylhydroxamate (III), which is condensed with 5-bromo-1H-indole (IV) by means of KH and t-BuLi yielding the ketone (V). The alkylation of (V) with ethyl iodide and NaH in DMF affords (1-ethylindol-5-yl)(4-fluorophenyl)methanone (VI), which is reduced with NaBH4 in methanol to the corresponding carbinol (VII). Finally, this compound is treated with carbonyl diimidazole in THF.

合成路线图解说明:

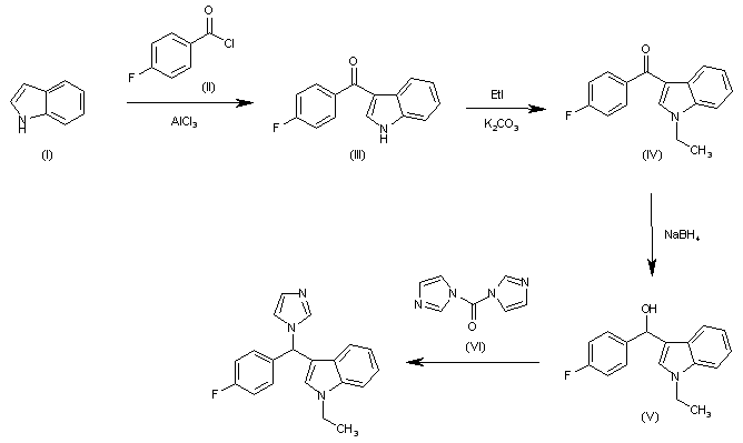
The acylation of indole (I) with 4-fluorobenzoyl chloride (II) by means of AlCl3 in dichloromethane gives 3-(4-fluorobenzoyl)indole (III), which is N-alkylated with ethyl iodide and K2CO3 in acetone yielding 1-ethyl-3-(4-fluorobenzoyl)indole (IV). The reduction of (IV) with NaBH4 in methanol affords the corresponding carbinol (V), which is finally treated with carbonyl diimidazole (VI) in THF.

合成路线图解说明:

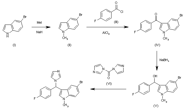
The methylation of 5-bromo-1H-indole (I) with methyl iodide and NaH in DMSO gives the 1-methyl derivative (II), which is acylated with 4-fluorobenzoyl chloride (III) and AlCl3 in dichloromethane yielding the 3-acyl derivative (IV). The reduction of (IV) with NaBH4 in methanol affords the corresponding carbinol (V), which is finally treated with carbonyl diimidazole (VI) in THF.

Drug Information Express,Drug R&D,Chemical Database,Patent Search.
Copyright © 2006-2025 Drug Future. All rights reserved.Contact Us