【药物名称】
化学结构式(Chemical Structure):
参考文献No.37393
标题:Fused N-heterocyclic cpds. substd. with benzyloxy, process for their preparation and their use as bradykinin receptor antagonists
作者:Heitsch, H.; Wirth, K.; Sch鰈kens, B.; Wagner, A. (Aventis SA)
来源:DE 19712960; EP 0867432; JP 1998279563
合成路线图解说明:

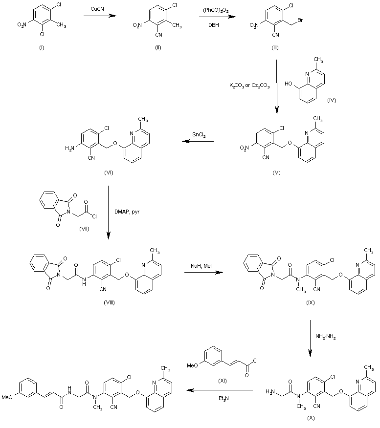
The reaction of 2,6-dichloro-3-nitrotoluene (I) with CuCN in hot DMF gives the benzonitrile (II), which is brominated with 1,3-dibromo-5,5-dimethylhidantoin (DBDH) and benzoyl peroxide in hot chlorobenzene yielding the benzyl bromide (III). The reaction of (III) with 2-methyl-8-quinolinol (IV) by means of K2CO3 or Cs2CO3 in DMF affords the benzyl ether (V), which is reduced at the nitro group with SnCl2 giving the amino derivative (VI). The condensation of (VI) with 2-phthalimidoacetyl chloride (VII) by means of DMAP and pyridine in refluxing dichloromethane yields the corresponding amide (VIII), which is N-methylated with methyl iodide and NaH in DMF affording intermediate (IX). Elimination of the phthalimido group of (IX) with hydrazine in refluxing dichloromethane/methanol provides the substituted glycinamide (X), which is finally acylated with 3-(3-methoxyphenyl)-2(E)-propenoyl chloride (XI) by means of triethylamine in refluxing dichloromethane.

参考文献No.488727
标题:Novel series of O-substituted 8-quinolines and 4-benzothiazoles as potent antagonists of the bradykinin B2 receptors
作者:Heitsch, H.; Wagner, A.; Scholkens, B.A.; Wirth, K.
来源:Bioorg Med Chem Lett 1999,9(3),327
合成路线图解说明:

The reaction of 2,6-dichloro-3-nitrotoluene (I) with CuCN in hot DMF gives the benzonitrile (II), which is brominated with 1,3-dibromo-5,5-dimethylhidantoin (DBDH) and benzoyl peroxide in hot chlorobenzene yielding the benzyl bromide (III). The reaction of (III) with 2-methyl-8-quinolinol (IV) by means of K2CO3 or Cs2CO3 in DMF affords the benzyl ether (V), which is reduced at the nitro group with SnCl2 giving the amino derivative (VI). The condensation of (VI) with 2-phthalimidoacetyl chloride (VII) by means of DMAP and pyridine in refluxing dichloromethane yields the corresponding amide (VIII), which is N-methylated with methyl iodide and NaH in DMF affording intermediate (IX). Elimination of the phthalimido group of (IX) with hydrazine in refluxing dichloromethane/methanol provides the substituted glycinamide (X), which is finally acylated with 3-(3-methoxyphenyl)-2(E)-propenoyl chloride (XI) by means of triethylamine in refluxing dichloromethane.

Drug Information Express,Drug R&D,Chemical Database,Patent Search.
Copyright © 2006-2026 Drug Future. All rights reserved.Contact Us