【药物名称】
化学结构式(Chemical Structure):
参考文献No.38990
标题:Aryl furan derivs. as PDE IV inhibitors
作者:Young, R.N.; MacDonald, D.; Bayly, C.; Perrier, H.; Han, Y.; Giroux, A. (Merck Frosst Canada Inc.)
来源:EP 1021429; US 6020339; WO 9918095
合成路线图解说明:

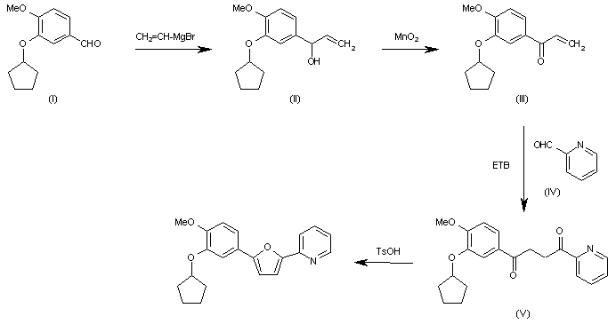
The Grignard reaction of 3-(cyclopentyloxy)-4-methoxybenzaldehyde (I) with vinylmagnesium bromide in THF gives the vinyl carbinol (II), which is oxidized with MnO2 in ethyl acetate yielding the propenone (III). The condensation of (III) with pyridine-2-carbaldehyde (IV) by means of 3-ethyl-5-(2-hydroxyethyl)-4-methyl-thiazolium bromide (ETB) and triethylamine affords the butanedione (V), which is finally cyclized to the target compound with p-toluenesulfonic acid in refluxing toluene.

参考文献No.488726
标题:Substituted furans as inhibitors of the PDE4 enzyme
作者:Perrier, H.; Bayly, C.; Laliberte, F.; Huang, z.; Rasori, R.; Robichaud, A.; Girard, Y.; Macdonald, D.
来源:Bioorg Med Chem Lett 1999,9(3),323
合成路线图解说明:

The Grignard reaction of 3-(cyclopentyloxy)-4-methoxybenzaldehyde (I) with vinylmagnesium bromide in THF gives the vinyl carbinol (II), which is oxidized with MnO2 in ethyl acetate yielding the propenone (III). The condensation of (III) with pyridine-2-carbaldehyde (IV) by means of 3-ethyl-5-(2-hydroxyethyl)-4-methyl-thiazolium bromide (ETB) and triethylamine affords the butanedione (V), which is finally cyclized to the target compound with p-toluenesulfonic acid in refluxing toluene.

Drug Information Express,Drug R&D,Chemical Database,Patent Search.
Copyright © 2006-2026 Drug Future. All rights reserved.Contact Us