【药物名称】
化学结构式(Chemical Structure):
参考文献No.40157
标题:Biaryl-acetic acid derivs. and their use as COX-2 inhibitors
作者:Black, C.; Leger, S.; Bayly, C.I.; Ouimet, N.; Ouellet, M.; Percival, D. (Merck Frosst Canada Inc.)
来源:US 5994379; WO 9941224
合成路线图解说明:

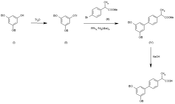
The acylation of 3,5-diethoxyphenol (I) with triflic anhydride gives the corresponding triflate (II), which is condensed with 2-(4-bromophenyl)propionic acid methyl ester (III) by means of triphenylphosphine and Pd2(dba)3 yielding 2-(3',5'-diethoxybiphenyl-4-yl)propionic acid methyl ester (IV). Finally, this compound is hydrolyzed with NaOH in methanol/water.

合成路线图解说明:

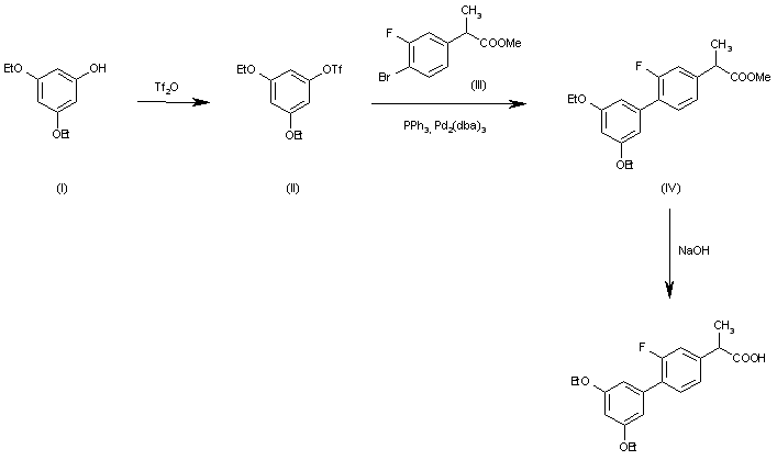
The acylation of 3,5-diethoxyphenol (I) with triflic anhydride gives the corresponding triflate (II), which is condensed with 2-(4-bromo-3-fluorophenyl)propionic acid methyl ester (III) by means of triphenylphosphine and Pd2(dba)3 yielding 2-(3',5'-diethoxy-2-fluorobiphenyl-4-yl)propionic acid methyl ester (IV). Finally, this compound is hydrolyzed with NaOH in methanol/water.

合成路线图解说明:

The cyclization of 4-iodoaniline (I) with 1-(phenylsulfanyl)acetone (II) by means of tert-butyl hypochlorite in dichloromethane gives the iodoindole (III), which is condensed with the phenylboronic ester (IV) using a Pd catalyst in DMSO to yield 2-[4-[2-methyl-3-(phenylsulfanyl)-1H-indol-5-yl]phenyl]propionic acid methyl ester (V). The desulfurization of (V) with thiosalicylic acid in hot TFA affords 2-[4-(2-methyl-1H-indol-5-yl)phenyl]propionic acid methyl ester (VI), which is finally hydrolyzed with LiOH in THF/methanol/water.

Drug Information Express,Drug R&D,Chemical Database,Patent Search.
Copyright © 2006-2026 Drug Future. All rights reserved.Contact Us