【药物名称】
化学结构式(Chemical Structure):
参考文献No.40157
标题:Biaryl-acetic acid derivs. and their use as COX-2 inhibitors
作者:Black, C.; Leger, S.; Bayly, C.I.; Ouimet, N.; Ouellet, M.; Percival, D. (Merck Frosst Canada Inc.)
来源:US 5994379; WO 9941224
合成路线图解说明:

The acylation of 3,5-diethoxyphenol (I) with triflic anhydride gives the corresponding triflate (II), which is condensed with 2-(4-bromophenyl)propionic acid methyl ester (III) by means of triphenylphosphine and Pd2(dba)3 yielding 2-(3',5'-diethoxybiphenyl-4-yl)propionic acid methyl ester (IV). Finally, this compound is hydrolyzed with NaOH in methanol/water.

合成路线图解说明:

The acylation of 3,5-diethoxyphenol (I) with triflic anhydride gives the corresponding triflate (II), which is condensed with 2-(4-bromo-3-fluorophenyl)propionic acid methyl ester (III) by means of triphenylphosphine and Pd2(dba)3 yielding 2-(3',5'-diethoxy-2-fluorobiphenyl-4-yl)propionic acid methyl ester (IV). Finally, this compound is hydrolyzed with NaOH in methanol/water.

合成路线图解说明:

The cyclization of 4-iodoaniline (I) with 1-(phenylsulfanyl)acetone (II) by means of tert-butyl hypochlorite in dichloromethane gives the iodoindole (III), which is condensed with the phenylboronic ester (IV) using a Pd catalyst in DMSO to yield 2-[4-[2-methyl-3-(phenylsulfanyl)-1H-indol-5-yl]phenyl]propionic acid methyl ester (V). The desulfurization of (V) with thiosalicylic acid in hot TFA affords 2-[4-(2-methyl-1H-indol-5-yl)phenyl]propionic acid methyl ester (VI), which is finally hydrolyzed with LiOH in THF/methanol/water.

参考文献No.488724
标题:Structure-based design of COX-2 selectivity into flurbiprofen
作者:Bayly, C.I.; Black, W.C.; Leger, S.; Ouimet, N.; Ouellet, M.; Percival, M.D.
来源:Bioorg Med Chem Lett 1999,9(3),307
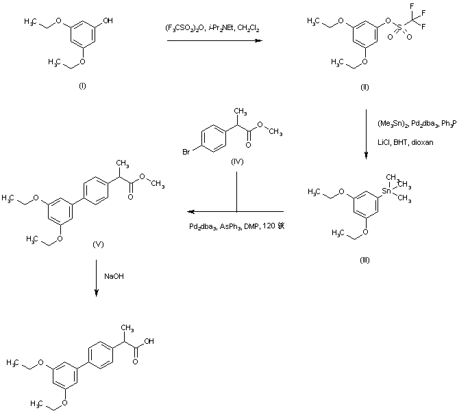
合成路线图解说明:

3,5-Diethoxyphenol (I) was converted to triflate (II) by means of trifluoromethanesulfonic anhydride and diisopropylethylamine. Subsequent treatment of (II) with hexamethylditin in the presence of palladium catalyst afforded the aryl stannane (III). Stille coupling of (III) with the aryl bromide (IV) using Pd2dba3 produced the biphenyl ester (V), which was finally hydrolyzed with NaOH to give the target carboxylic acid.

Drug Information Express,Drug R&D,Chemical Database,Patent Search.
Copyright © 2006-2026 Drug Future. All rights reserved.Contact Us