【药物名称】Perprazole, (-)-Omeprazole magnesium, (S)-Omeprazole magnesium, Esomeprazole magnesium, H-199/18, Nexium
化学结构式(Chemical Structure):
参考文献No.1702
标题:Substd. pyridylsulfinylbenzimidazoles having gastric acid secretion properties, pharmaceutical preparations containing same, and intermediates for their preparation
作者:Junggren, U.K.; Sj鰏trand, S.E. (H鋝sle L鋕emedel AB)
来源:CA 1129417; EP 0005129; US 4255431
合成路线图解说明:

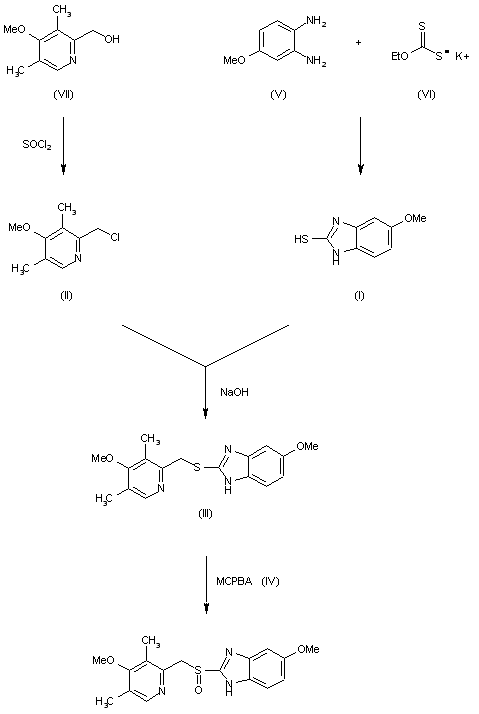
The condensation of 5-methoxy-2-mercaptobenzimidazole (I) with 2-chloromethyl-3,5dimethyl-4-methoxypyridine (II) by means of NaOH in refluxing ethanol gives 5-methoxy-2-[[(4-methoxy-3,5-dimethyl-2-pyridyl)methyl]thio]benzimidazole (III), which is then oxidized with m-chloroperbenzoic acid (IV) in chloroform. Benzimidazole (I) is obtained by cyclization of 4-methoxy-o-phenylenediamine (V) with potassium ethylxanthate (VI). Pyridine (II) is obtained by reaction of 2-hydroxymethyl-3,5-dimethyl-4-methoxypyridine (VII) with SOCl2.

合成路线图解说明:

Esomeprazole can be obtained by several related ways: 1) The NaOH-mediated condensation of 2-(chloromethyl)-4-methoxy-3,5-dimethylpyridine (II), obtained by reaction of the hydroxymethylpyridine (I) with SOCl2, with 5-methoxy-1H-benzimidazole-2-thiol (V), obtained by cyclization of 4-methoxy-o-phenylenediamine (III) with potassium ethylxanthate (IV), gives 5-methoxy-2-(4-methoxy-3,5-dimethylpyridin-2-ylmethylsulfanyl)-1H-benzimidazole (VI), which is oxidized with m-chloroperbenzoic acid, yielding racemic omeprazole (VII). The optical resolution of (VII) can be performed by chiral chromatography using several different chiral stationary phases, or by stereoselective bioreduction of the undesired (+)-enantiomer with a purified preparation of DMSO reductase from Rhodobacter capsulatus DSM 938 that, after reversed phase HPLC separation of the reduced sulfanyl derivative (VI), affords an enantiomerically enriched (15:85) mixture of the (+)- and (-)-enantiomers. Finally, this mixture is submitted to chiral HPLC separation or fractional crystallization in either acetonitrile, 2-butanone or acetone. (Scheme 27259801a) 2) The asymmetric oxidation of the pro-chiral sulfide (VI) carried out by biooxidation with various microorganisms; among them, the best results (>99% e.e.) were obtained with Penicillium frequentans BPFC 386, Penicillium frequentans BPFC 585, and Brevibacterium praffinoliticum ATCC 21195. (Scheme 27259801a) 3) The asymmetric oxidation of the pro-chiral intermediate (VI) performed with titanium(IV) isopropoxide and cumene hydroperoxide in the presence of (-)-diethyl D-tartrate and DIEA in toluene. Esomeprazole magnesium can be obtained by three different ways: i) by reaction of esomeprazole with magnesium sulfate heptahydrate in aqueous ammonia; ii) by reaction of esomeprazole with magnesium methoxide in methanol or iii) by reaction of esomeprazole sodium, obtained by treatment of esomeprazole with NaOH in 2-butanone, with hydrated magnesium chloride in water.

参考文献No.8469
标题:Benzimidazole derivs.
作者:Alminger, T.B.; Bergman, R.A.; Bundgaard, H.; Lindberg, P.L.; Sund閚, G.E. (H鋝sle L鋕emedel AB)
来源:AU 8783302; EP 0279149; EP 0332647; EP 0510719; JP 1990500744; US 5215974; WO 8803921
合成路线图解说明:

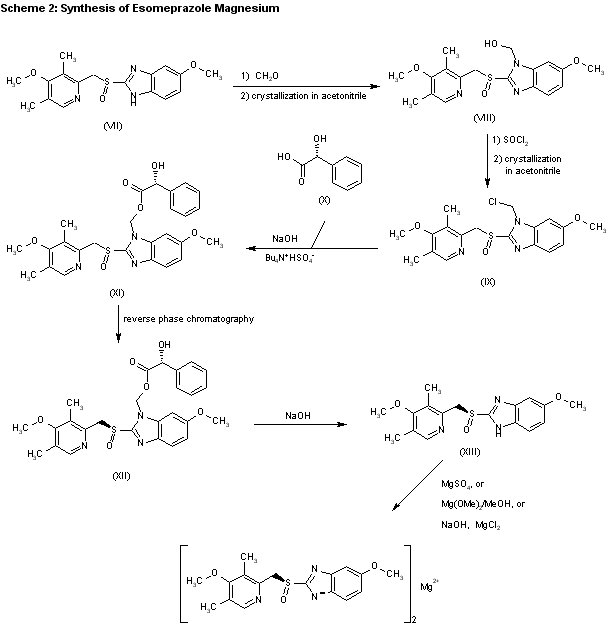
4) The reaction of racemic omeprazole (VII) with formaldehyde in dichloromethane gives, after crystallization in acetonitrile, 1-(hydroxymethyl)-6-methoxy-2-(4-methoxy-3,5-dimethyl-2-pyridinylmethylsulfinyl)-1H-benzimidazole (VIII), which is treated with SOCl2 in dichloromethane to afford, after crystallization in acetonitrile, the corresponding chloromethyl derivative (IX). The condensation of (IX) with (R)-2-hydroxy-2-phenylacetic acid (X) by means of NaOH and tetrabutylammonium hydrogen sulfate in water gives the corresponding ester (XI) as a diastereomeric mixture, which is resolved by reverse phase chromatography. Finally, the suitable isomer is hydrolyzed to esomeprazole by treatment with NaOH in methanol. (Scheme 27259802a) Esomeprazole magnesium can be obtained by three different ways: i) by reaction of esomeprazole with magnesium sulfate heptahydrate in aqueous ammonia; ii) by reaction of esomeprazole with magnesium methoxide in methanol or iii) by reaction of esomeprazole sodium, obtained by treatment of esomeprazole with NaOH in 2-butanone, with hydrated magnesium chloride in water. (Schemes 27259801a and 27259802a)

参考文献No.28473
标题:Novel ethoxycarbonyloxymethyl derivs. of substd. benzimidazoles
作者:Von Unge, S. (AstraZeneca plc)
来源:WO 9532957
合成路线图解说明:

4) The reaction of racemic omeprazole (VII) with formaldehyde in dichloromethane gives, after crystallization in acetonitrile, 1-(hydroxymethyl)-6-methoxy-2-(4-methoxy-3,5-dimethyl-2-pyridinylmethylsulfinyl)-1H-benzimidazole (VIII), which is treated with SOCl2 in dichloromethane to afford, after crystallization in acetonitrile, the corresponding chloromethyl derivative (IX). The condensation of (IX) with (R)-2-hydroxy-2-phenylacetic acid (X) by means of NaOH and tetrabutylammonium hydrogen sulfate in water gives the corresponding ester (XI) as a diastereomeric mixture, which is resolved by reverse phase chromatography. Finally, the suitable isomer is hydrolyzed to esomeprazole by treatment with NaOH in methanol. (Scheme 27259802a) Esomeprazole magnesium can be obtained by three different ways: i) by reaction of esomeprazole with magnesium sulfate heptahydrate in aqueous ammonia; ii) by reaction of esomeprazole with magnesium methoxide in methanol or iii) by reaction of esomeprazole sodium, obtained by treatment of esomeprazole with NaOH in 2-butanone, with hydrated magnesium chloride in water. (Schemes 27259801a and 27259802a)

参考文献No.35159
标题:Optically pure salts of pyridinylmethyl sulfinyl-1H-benzimidazole cpds.
作者:Lindberg, P.L.; Von Unge, S. (AstraZeneca plc)
来源:EP 1020460; EP 1020461; US 5693818; US 5714504; WO 9427988
合成路线图解说明:

Esomeprazole can be obtained by several related ways: 1) The NaOH-mediated condensation of 2-(chloromethyl)-4-methoxy-3,5-dimethylpyridine (II), obtained by reaction of the hydroxymethylpyridine (I) with SOCl2, with 5-methoxy-1H-benzimidazole-2-thiol (V), obtained by cyclization of 4-methoxy-o-phenylenediamine (III) with potassium ethylxanthate (IV), gives 5-methoxy-2-(4-methoxy-3,5-dimethylpyridin-2-ylmethylsulfanyl)-1H-benzimidazole (VI), which is oxidized with m-chloroperbenzoic acid, yielding racemic omeprazole (VII). The optical resolution of (VII) can be performed by chiral chromatography using several different chiral stationary phases, or by stereoselective bioreduction of the undesired (+)-enantiomer with a purified preparation of DMSO reductase from Rhodobacter capsulatus DSM 938 that, after reversed phase HPLC separation of the reduced sulfanyl derivative (VI), affords an enantiomerically enriched (15:85) mixture of the (+)- and (-)-enantiomers. Finally, this mixture is submitted to chiral HPLC separation or fractional crystallization in either acetonitrile, 2-butanone or acetone. (Scheme 27259801a) 2) The asymmetric oxidation of the pro-chiral sulfide (VI) carried out by biooxidation with various microorganisms; among them, the best results (>99% e.e.) were obtained with Penicillium frequentans BPFC 386, Penicillium frequentans BPFC 585, and Brevibacterium praffinoliticum ATCC 21195. (Scheme 27259801a) 3) The asymmetric oxidation of the pro-chiral intermediate (VI) performed with titanium(IV) isopropoxide and cumene hydroperoxide in the presence of (-)-diethyl D-tartrate and DIEA in toluene. Esomeprazole magnesium can be obtained by three different ways: i) by reaction of esomeprazole with magnesium sulfate heptahydrate in aqueous ammonia; ii) by reaction of esomeprazole with magnesium methoxide in methanol or iii) by reaction of esomeprazole sodium, obtained by treatment of esomeprazole with NaOH in 2-butanone, with hydrated magnesium chloride in water.

合成路线图解说明:

4) The reaction of racemic omeprazole (VII) with formaldehyde in dichloromethane gives, after crystallization in acetonitrile, 1-(hydroxymethyl)-6-methoxy-2-(4-methoxy-3,5-dimethyl-2-pyridinylmethylsulfinyl)-1H-benzimidazole (VIII), which is treated with SOCl2 in dichloromethane to afford, after crystallization in acetonitrile, the corresponding chloromethyl derivative (IX). The condensation of (IX) with (R)-2-hydroxy-2-phenylacetic acid (X) by means of NaOH and tetrabutylammonium hydrogen sulfate in water gives the corresponding ester (XI) as a diastereomeric mixture, which is resolved by reverse phase chromatography. Finally, the suitable isomer is hydrolyzed to esomeprazole by treatment with NaOH in methanol. (Scheme 27259802a) Esomeprazole magnesium can be obtained by three different ways: i) by reaction of esomeprazole with magnesium sulfate heptahydrate in aqueous ammonia; ii) by reaction of esomeprazole with magnesium methoxide in methanol or iii) by reaction of esomeprazole sodium, obtained by treatment of esomeprazole with NaOH in 2-butanone, with hydrated magnesium chloride in water. (Schemes 27259801a and 27259802a)

参考文献No.38945
标题:Enantioselective preparation of pharmaceutically active sulfoxides by biooxidation
作者:Holt, R.; Lindberg, P.; Taylor, S.; Reeve, C. (AstraZeneca plc)
来源:WO 9617076
合成路线图解说明:

Esomeprazole can be obtained by several related ways: 1) The NaOH-mediated condensation of 2-(chloromethyl)-4-methoxy-3,5-dimethylpyridine (II), obtained by reaction of the hydroxymethylpyridine (I) with SOCl2, with 5-methoxy-1H-benzimidazole-2-thiol (V), obtained by cyclization of 4-methoxy-o-phenylenediamine (III) with potassium ethylxanthate (IV), gives 5-methoxy-2-(4-methoxy-3,5-dimethylpyridin-2-ylmethylsulfanyl)-1H-benzimidazole (VI), which is oxidized with m-chloroperbenzoic acid, yielding racemic omeprazole (VII). The optical resolution of (VII) can be performed by chiral chromatography using several different chiral stationary phases, or by stereoselective bioreduction of the undesired (+)-enantiomer with a purified preparation of DMSO reductase from Rhodobacter capsulatus DSM 938 that, after reversed phase HPLC separation of the reduced sulfanyl derivative (VI), affords an enantiomerically enriched (15:85) mixture of the (+)- and (-)-enantiomers. Finally, this mixture is submitted to chiral HPLC separation or fractional crystallization in either acetonitrile, 2-butanone or acetone. (Scheme 27259801a) 2) The asymmetric oxidation of the pro-chiral sulfide (VI) carried out by biooxidation with various microorganisms; among them, the best results (>99% e.e.) were obtained with Penicillium frequentans BPFC 386, Penicillium frequentans BPFC 585, and Brevibacterium praffinoliticum ATCC 21195. (Scheme 27259801a) 3) The asymmetric oxidation of the pro-chiral intermediate (VI) performed with titanium(IV) isopropoxide and cumene hydroperoxide in the presence of (-)-diethyl D-tartrate and DIEA in toluene. Esomeprazole magnesium can be obtained by three different ways: i) by reaction of esomeprazole with magnesium sulfate heptahydrate in aqueous ammonia; ii) by reaction of esomeprazole with magnesium methoxide in methanol or iii) by reaction of esomeprazole sodium, obtained by treatment of esomeprazole with NaOH in 2-butanone, with hydrated magnesium chloride in water.

参考文献No.38946
标题:Multiple unit tableted dosage form I
作者:Bergstrand, P.J.A.; L鰒gren, K.I. (AstraZeneca plc)
来源:WO 9601623
合成路线图解说明:

Esomeprazole can be obtained by several related ways: 1) The NaOH-mediated condensation of 2-(chloromethyl)-4-methoxy-3,5-dimethylpyridine (II), obtained by reaction of the hydroxymethylpyridine (I) with SOCl2, with 5-methoxy-1H-benzimidazole-2-thiol (V), obtained by cyclization of 4-methoxy-o-phenylenediamine (III) with potassium ethylxanthate (IV), gives 5-methoxy-2-(4-methoxy-3,5-dimethylpyridin-2-ylmethylsulfanyl)-1H-benzimidazole (VI), which is oxidized with m-chloroperbenzoic acid, yielding racemic omeprazole (VII). The optical resolution of (VII) can be performed by chiral chromatography using several different chiral stationary phases, or by stereoselective bioreduction of the undesired (+)-enantiomer with a purified preparation of DMSO reductase from Rhodobacter capsulatus DSM 938 that, after reversed phase HPLC separation of the reduced sulfanyl derivative (VI), affords an enantiomerically enriched (15:85) mixture of the (+)- and (-)-enantiomers. Finally, this mixture is submitted to chiral HPLC separation or fractional crystallization in either acetonitrile, 2-butanone or acetone. (Scheme 27259801a) 2) The asymmetric oxidation of the pro-chiral sulfide (VI) carried out by biooxidation with various microorganisms; among them, the best results (>99% e.e.) were obtained with Penicillium frequentans BPFC 386, Penicillium frequentans BPFC 585, and Brevibacterium praffinoliticum ATCC 21195. (Scheme 27259801a) 3) The asymmetric oxidation of the pro-chiral intermediate (VI) performed with titanium(IV) isopropoxide and cumene hydroperoxide in the presence of (-)-diethyl D-tartrate and DIEA in toluene. Esomeprazole magnesium can be obtained by three different ways: i) by reaction of esomeprazole with magnesium sulfate heptahydrate in aqueous ammonia; ii) by reaction of esomeprazole with magnesium methoxide in methanol or iii) by reaction of esomeprazole sodium, obtained by treatment of esomeprazole with NaOH in 2-butanone, with hydrated magnesium chloride in water.

合成路线图解说明:

4) The reaction of racemic omeprazole (VII) with formaldehyde in dichloromethane gives, after crystallization in acetonitrile, 1-(hydroxymethyl)-6-methoxy-2-(4-methoxy-3,5-dimethyl-2-pyridinylmethylsulfinyl)-1H-benzimidazole (VIII), which is treated with SOCl2 in dichloromethane to afford, after crystallization in acetonitrile, the corresponding chloromethyl derivative (IX). The condensation of (IX) with (R)-2-hydroxy-2-phenylacetic acid (X) by means of NaOH and tetrabutylammonium hydrogen sulfate in water gives the corresponding ester (XI) as a diastereomeric mixture, which is resolved by reverse phase chromatography. Finally, the suitable isomer is hydrolyzed to esomeprazole by treatment with NaOH in methanol. (Scheme 27259802a) Esomeprazole magnesium can be obtained by three different ways: i) by reaction of esomeprazole with magnesium sulfate heptahydrate in aqueous ammonia; ii) by reaction of esomeprazole with magnesium methoxide in methanol or iii) by reaction of esomeprazole sodium, obtained by treatment of esomeprazole with NaOH in 2-butanone, with hydrated magnesium chloride in water. (Schemes 27259801a and 27259802a)

参考文献No.38947
标题:Process for the preparation of a magnesium salt of a substd. sulphinyl heterocycle
作者:Mattson, A.; H鰃berg, J.-A.; Ioannidis, P. (AstraZeneca plc)
来源:JP 2000509067; WO 9741114
合成路线图解说明:

Esomeprazole can be obtained by several related ways: 1) The NaOH-mediated condensation of 2-(chloromethyl)-4-methoxy-3,5-dimethylpyridine (II), obtained by reaction of the hydroxymethylpyridine (I) with SOCl2, with 5-methoxy-1H-benzimidazole-2-thiol (V), obtained by cyclization of 4-methoxy-o-phenylenediamine (III) with potassium ethylxanthate (IV), gives 5-methoxy-2-(4-methoxy-3,5-dimethylpyridin-2-ylmethylsulfanyl)-1H-benzimidazole (VI), which is oxidized with m-chloroperbenzoic acid, yielding racemic omeprazole (VII). The optical resolution of (VII) can be performed by chiral chromatography using several different chiral stationary phases, or by stereoselective bioreduction of the undesired (+)-enantiomer with a purified preparation of DMSO reductase from Rhodobacter capsulatus DSM 938 that, after reversed phase HPLC separation of the reduced sulfanyl derivative (VI), affords an enantiomerically enriched (15:85) mixture of the (+)- and (-)-enantiomers. Finally, this mixture is submitted to chiral HPLC separation or fractional crystallization in either acetonitrile, 2-butanone or acetone. (Scheme 27259801a) 2) The asymmetric oxidation of the pro-chiral sulfide (VI) carried out by biooxidation with various microorganisms; among them, the best results (>99% e.e.) were obtained with Penicillium frequentans BPFC 386, Penicillium frequentans BPFC 585, and Brevibacterium praffinoliticum ATCC 21195. (Scheme 27259801a) 3) The asymmetric oxidation of the pro-chiral intermediate (VI) performed with titanium(IV) isopropoxide and cumene hydroperoxide in the presence of (-)-diethyl D-tartrate and DIEA in toluene. Esomeprazole magnesium can be obtained by three different ways: i) by reaction of esomeprazole with magnesium sulfate heptahydrate in aqueous ammonia; ii) by reaction of esomeprazole with magnesium methoxide in methanol or iii) by reaction of esomeprazole sodium, obtained by treatment of esomeprazole with NaOH in 2-butanone, with hydrated magnesium chloride in water.

合成路线图解说明:

4) The reaction of racemic omeprazole (VII) with formaldehyde in dichloromethane gives, after crystallization in acetonitrile, 1-(hydroxymethyl)-6-methoxy-2-(4-methoxy-3,5-dimethyl-2-pyridinylmethylsulfinyl)-1H-benzimidazole (VIII), which is treated with SOCl2 in dichloromethane to afford, after crystallization in acetonitrile, the corresponding chloromethyl derivative (IX). The condensation of (IX) with (R)-2-hydroxy-2-phenylacetic acid (X) by means of NaOH and tetrabutylammonium hydrogen sulfate in water gives the corresponding ester (XI) as a diastereomeric mixture, which is resolved by reverse phase chromatography. Finally, the suitable isomer is hydrolyzed to esomeprazole by treatment with NaOH in methanol. (Scheme 27259802a) Esomeprazole magnesium can be obtained by three different ways: i) by reaction of esomeprazole with magnesium sulfate heptahydrate in aqueous ammonia; ii) by reaction of esomeprazole with magnesium methoxide in methanol or iii) by reaction of esomeprazole sodium, obtained by treatment of esomeprazole with NaOH in 2-butanone, with hydrated magnesium chloride in water. (Schemes 27259801a and 27259802a)

参考文献No.38948
标题:A process for the optical purification of enantiomerically enriched benzimidazole derivs.
作者:Von Unge, S. (AstraZeneca plc)
来源:WO 9702261
合成路线图解说明:

Esomeprazole can be obtained by several related ways: 1) The NaOH-mediated condensation of 2-(chloromethyl)-4-methoxy-3,5-dimethylpyridine (II), obtained by reaction of the hydroxymethylpyridine (I) with SOCl2, with 5-methoxy-1H-benzimidazole-2-thiol (V), obtained by cyclization of 4-methoxy-o-phenylenediamine (III) with potassium ethylxanthate (IV), gives 5-methoxy-2-(4-methoxy-3,5-dimethylpyridin-2-ylmethylsulfanyl)-1H-benzimidazole (VI), which is oxidized with m-chloroperbenzoic acid, yielding racemic omeprazole (VII). The optical resolution of (VII) can be performed by chiral chromatography using several different chiral stationary phases, or by stereoselective bioreduction of the undesired (+)-enantiomer with a purified preparation of DMSO reductase from Rhodobacter capsulatus DSM 938 that, after reversed phase HPLC separation of the reduced sulfanyl derivative (VI), affords an enantiomerically enriched (15:85) mixture of the (+)- and (-)-enantiomers. Finally, this mixture is submitted to chiral HPLC separation or fractional crystallization in either acetonitrile, 2-butanone or acetone. (Scheme 27259801a) 2) The asymmetric oxidation of the pro-chiral sulfide (VI) carried out by biooxidation with various microorganisms; among them, the best results (>99% e.e.) were obtained with Penicillium frequentans BPFC 386, Penicillium frequentans BPFC 585, and Brevibacterium praffinoliticum ATCC 21195. (Scheme 27259801a) 3) The asymmetric oxidation of the pro-chiral intermediate (VI) performed with titanium(IV) isopropoxide and cumene hydroperoxide in the presence of (-)-diethyl D-tartrate and DIEA in toluene. Esomeprazole magnesium can be obtained by three different ways: i) by reaction of esomeprazole with magnesium sulfate heptahydrate in aqueous ammonia; ii) by reaction of esomeprazole with magnesium methoxide in methanol or iii) by reaction of esomeprazole sodium, obtained by treatment of esomeprazole with NaOH in 2-butanone, with hydrated magnesium chloride in water.

参考文献No.38949
标题:Enantioselective preparation of pharmaceutically active sulfoxides by bioreduction
作者:Taylor, S.; Holt, R.; Graham, D.; Lindberg, P. (AstraZeneca plc)
来源:WO 9617077
合成路线图解说明:

Esomeprazole can be obtained by several related ways: 1) The NaOH-mediated condensation of 2-(chloromethyl)-4-methoxy-3,5-dimethylpyridine (II), obtained by reaction of the hydroxymethylpyridine (I) with SOCl2, with 5-methoxy-1H-benzimidazole-2-thiol (V), obtained by cyclization of 4-methoxy-o-phenylenediamine (III) with potassium ethylxanthate (IV), gives 5-methoxy-2-(4-methoxy-3,5-dimethylpyridin-2-ylmethylsulfanyl)-1H-benzimidazole (VI), which is oxidized with m-chloroperbenzoic acid, yielding racemic omeprazole (VII). The optical resolution of (VII) can be performed by chiral chromatography using several different chiral stationary phases, or by stereoselective bioreduction of the undesired (+)-enantiomer with a purified preparation of DMSO reductase from Rhodobacter capsulatus DSM 938 that, after reversed phase HPLC separation of the reduced sulfanyl derivative (VI), affords an enantiomerically enriched (15:85) mixture of the (+)- and (-)-enantiomers. Finally, this mixture is submitted to chiral HPLC separation or fractional crystallization in either acetonitrile, 2-butanone or acetone. (Scheme 27259801a) 2) The asymmetric oxidation of the pro-chiral sulfide (VI) carried out by biooxidation with various microorganisms; among them, the best results (>99% e.e.) were obtained with Penicillium frequentans BPFC 386, Penicillium frequentans BPFC 585, and Brevibacterium praffinoliticum ATCC 21195. (Scheme 27259801a) 3) The asymmetric oxidation of the pro-chiral intermediate (VI) performed with titanium(IV) isopropoxide and cumene hydroperoxide in the presence of (-)-diethyl D-tartrate and DIEA in toluene. Esomeprazole magnesium can be obtained by three different ways: i) by reaction of esomeprazole with magnesium sulfate heptahydrate in aqueous ammonia; ii) by reaction of esomeprazole with magnesium methoxide in methanol or iii) by reaction of esomeprazole sodium, obtained by treatment of esomeprazole with NaOH in 2-butanone, with hydrated magnesium chloride in water.

参考文献No.41379
标题:Process for synthesis of substd. sulphoxides
作者:Von Unge, P.O.S.; Larsson, E.M.; Cotton, H.K.; S鰎ensen, H.; Stenhede, U.J. (AstraZeneca plc)
来源:WO 9602535
合成路线图解说明:

Esomeprazole can be obtained by several related ways: 1) The NaOH-mediated condensation of 2-(chloromethyl)-4-methoxy-3,5-dimethylpyridine (II), obtained by reaction of the hydroxymethylpyridine (I) with SOCl2, with 5-methoxy-1H-benzimidazole-2-thiol (V), obtained by cyclization of 4-methoxy-o-phenylenediamine (III) with potassium ethylxanthate (IV), gives 5-methoxy-2-(4-methoxy-3,5-dimethylpyridin-2-ylmethylsulfanyl)-1H-benzimidazole (VI), which is oxidized with m-chloroperbenzoic acid, yielding racemic omeprazole (VII). The optical resolution of (VII) can be performed by chiral chromatography using several different chiral stationary phases, or by stereoselective bioreduction of the undesired (+)-enantiomer with a purified preparation of DMSO reductase from Rhodobacter capsulatus DSM 938 that, after reversed phase HPLC separation of the reduced sulfanyl derivative (VI), affords an enantiomerically enriched (15:85) mixture of the (+)- and (-)-enantiomers. Finally, this mixture is submitted to chiral HPLC separation or fractional crystallization in either acetonitrile, 2-butanone or acetone. (Scheme 27259801a) 2) The asymmetric oxidation of the pro-chiral sulfide (VI) carried out by biooxidation with various microorganisms; among them, the best results (>99% e.e.) were obtained with Penicillium frequentans BPFC 386, Penicillium frequentans BPFC 585, and Brevibacterium praffinoliticum ATCC 21195. (Scheme 27259801a) 3) The asymmetric oxidation of the pro-chiral intermediate (VI) performed with titanium(IV) isopropoxide and cumene hydroperoxide in the presence of (-)-diethyl D-tartrate and DIEA in toluene. Esomeprazole magnesium can be obtained by three different ways: i) by reaction of esomeprazole with magnesium sulfate heptahydrate in aqueous ammonia; ii) by reaction of esomeprazole with magnesium methoxide in methanol or iii) by reaction of esomeprazole sodium, obtained by treatment of esomeprazole with NaOH in 2-butanone, with hydrated magnesium chloride in water.

参考文献No.530148
标题:Resolution of the enantiomers of omeprazole and some of its analogues by liquid chromatography on a trisphenylcarbamoylcellulose-based stationary phase. The effect of the enantiomers of omeprazole on gastric glands
作者:Erlandsson, P.; Isaksson, R.; Lorentzon, P.; Lindberg, P.
来源:J Chromatogr 1990,532305
合成路线图解说明:

Esomeprazole can be obtained by several related ways: 1) The NaOH-mediated condensation of 2-(chloromethyl)-4-methoxy-3,5-dimethylpyridine (II), obtained by reaction of the hydroxymethylpyridine (I) with SOCl2, with 5-methoxy-1H-benzimidazole-2-thiol (V), obtained by cyclization of 4-methoxy-o-phenylenediamine (III) with potassium ethylxanthate (IV), gives 5-methoxy-2-(4-methoxy-3,5-dimethylpyridin-2-ylmethylsulfanyl)-1H-benzimidazole (VI), which is oxidized with m-chloroperbenzoic acid, yielding racemic omeprazole (VII). The optical resolution of (VII) can be performed by chiral chromatography using several different chiral stationary phases, or by stereoselective bioreduction of the undesired (+)-enantiomer with a purified preparation of DMSO reductase from Rhodobacter capsulatus DSM 938 that, after reversed phase HPLC separation of the reduced sulfanyl derivative (VI), affords an enantiomerically enriched (15:85) mixture of the (+)- and (-)-enantiomers. Finally, this mixture is submitted to chiral HPLC separation or fractional crystallization in either acetonitrile, 2-butanone or acetone. (Scheme 27259801a) 2) The asymmetric oxidation of the pro-chiral sulfide (VI) carried out by biooxidation with various microorganisms; among them, the best results (>99% e.e.) were obtained with Penicillium frequentans BPFC 386, Penicillium frequentans BPFC 585, and Brevibacterium praffinoliticum ATCC 21195. (Scheme 27259801a) 3) The asymmetric oxidation of the pro-chiral intermediate (VI) performed with titanium(IV) isopropoxide and cumene hydroperoxide in the presence of (-)-diethyl D-tartrate and DIEA in toluene. Esomeprazole magnesium can be obtained by three different ways: i) by reaction of esomeprazole with magnesium sulfate heptahydrate in aqueous ammonia; ii) by reaction of esomeprazole with magnesium methoxide in methanol or iii) by reaction of esomeprazole sodium, obtained by treatment of esomeprazole with NaOH in 2-butanone, with hydrated magnesium chloride in water.

参考文献No.530149
标题:Separation of enantiomers using cellulase (CBH I) silica as a chiral stationary phase
作者:Isaksson, R.; Pettersson, C.; Erlandsson, P.; Marle, I.; Pettersson, G.
来源:J Chromatogr 1991,586(2),233
合成路线图解说明:

Esomeprazole can be obtained by several related ways: 1) The NaOH-mediated condensation of 2-(chloromethyl)-4-methoxy-3,5-dimethylpyridine (II), obtained by reaction of the hydroxymethylpyridine (I) with SOCl2, with 5-methoxy-1H-benzimidazole-2-thiol (V), obtained by cyclization of 4-methoxy-o-phenylenediamine (III) with potassium ethylxanthate (IV), gives 5-methoxy-2-(4-methoxy-3,5-dimethylpyridin-2-ylmethylsulfanyl)-1H-benzimidazole (VI), which is oxidized with m-chloroperbenzoic acid, yielding racemic omeprazole (VII). The optical resolution of (VII) can be performed by chiral chromatography using several different chiral stationary phases, or by stereoselective bioreduction of the undesired (+)-enantiomer with a purified preparation of DMSO reductase from Rhodobacter capsulatus DSM 938 that, after reversed phase HPLC separation of the reduced sulfanyl derivative (VI), affords an enantiomerically enriched (15:85) mixture of the (+)- and (-)-enantiomers. Finally, this mixture is submitted to chiral HPLC separation or fractional crystallization in either acetonitrile, 2-butanone or acetone. (Scheme 27259801a) 2) The asymmetric oxidation of the pro-chiral sulfide (VI) carried out by biooxidation with various microorganisms; among them, the best results (>99% e.e.) were obtained with Penicillium frequentans BPFC 386, Penicillium frequentans BPFC 585, and Brevibacterium praffinoliticum ATCC 21195. (Scheme 27259801a) 3) The asymmetric oxidation of the pro-chiral intermediate (VI) performed with titanium(IV) isopropoxide and cumene hydroperoxide in the presence of (-)-diethyl D-tartrate and DIEA in toluene. Esomeprazole magnesium can be obtained by three different ways: i) by reaction of esomeprazole with magnesium sulfate heptahydrate in aqueous ammonia; ii) by reaction of esomeprazole with magnesium methoxide in methanol or iii) by reaction of esomeprazole sodium, obtained by treatment of esomeprazole with NaOH in 2-butanone, with hydrated magnesium chloride in water.

参考文献No.530150
标题:Stereoselective effects in the separation of enantiomers of omeprazole and other substituted benzimidazoles on different chiral stationary phases
作者:Balm閞, K.; Persson, B.-A.; Lagerstr鰉, P.-O.
来源:J Chromatogr 1994,660(1-2),269
合成路线图解说明:

Esomeprazole can be obtained by several related ways: 1) The NaOH-mediated condensation of 2-(chloromethyl)-4-methoxy-3,5-dimethylpyridine (II), obtained by reaction of the hydroxymethylpyridine (I) with SOCl2, with 5-methoxy-1H-benzimidazole-2-thiol (V), obtained by cyclization of 4-methoxy-o-phenylenediamine (III) with potassium ethylxanthate (IV), gives 5-methoxy-2-(4-methoxy-3,5-dimethylpyridin-2-ylmethylsulfanyl)-1H-benzimidazole (VI), which is oxidized with m-chloroperbenzoic acid, yielding racemic omeprazole (VII). The optical resolution of (VII) can be performed by chiral chromatography using several different chiral stationary phases, or by stereoselective bioreduction of the undesired (+)-enantiomer with a purified preparation of DMSO reductase from Rhodobacter capsulatus DSM 938 that, after reversed phase HPLC separation of the reduced sulfanyl derivative (VI), affords an enantiomerically enriched (15:85) mixture of the (+)- and (-)-enantiomers. Finally, this mixture is submitted to chiral HPLC separation or fractional crystallization in either acetonitrile, 2-butanone or acetone. (Scheme 27259801a) 2) The asymmetric oxidation of the pro-chiral sulfide (VI) carried out by biooxidation with various microorganisms; among them, the best results (>99% e.e.) were obtained with Penicillium frequentans BPFC 386, Penicillium frequentans BPFC 585, and Brevibacterium praffinoliticum ATCC 21195. (Scheme 27259801a) 3) The asymmetric oxidation of the pro-chiral intermediate (VI) performed with titanium(IV) isopropoxide and cumene hydroperoxide in the presence of (-)-diethyl D-tartrate and DIEA in toluene. Esomeprazole magnesium can be obtained by three different ways: i) by reaction of esomeprazole with magnesium sulfate heptahydrate in aqueous ammonia; ii) by reaction of esomeprazole with magnesium methoxide in methanol or iii) by reaction of esomeprazole sodium, obtained by treatment of esomeprazole with NaOH in 2-butanone, with hydrated magnesium chloride in water.

参考文献No.530151
标题:Direct HPLC separation of enantiomers of pantoprazole and other benzimidazole sulfoxides using cellulose-based chiral stationary phases in reversed-phase mode
作者:Hakusui, H.; Yamazaki, H.; Tanaka, M.
来源:Chirality 1995,7(8),612
合成路线图解说明:

Esomeprazole can be obtained by several related ways: 1) The NaOH-mediated condensation of 2-(chloromethyl)-4-methoxy-3,5-dimethylpyridine (II), obtained by reaction of the hydroxymethylpyridine (I) with SOCl2, with 5-methoxy-1H-benzimidazole-2-thiol (V), obtained by cyclization of 4-methoxy-o-phenylenediamine (III) with potassium ethylxanthate (IV), gives 5-methoxy-2-(4-methoxy-3,5-dimethylpyridin-2-ylmethylsulfanyl)-1H-benzimidazole (VI), which is oxidized with m-chloroperbenzoic acid, yielding racemic omeprazole (VII). The optical resolution of (VII) can be performed by chiral chromatography using several different chiral stationary phases, or by stereoselective bioreduction of the undesired (+)-enantiomer with a purified preparation of DMSO reductase from Rhodobacter capsulatus DSM 938 that, after reversed phase HPLC separation of the reduced sulfanyl derivative (VI), affords an enantiomerically enriched (15:85) mixture of the (+)- and (-)-enantiomers. Finally, this mixture is submitted to chiral HPLC separation or fractional crystallization in either acetonitrile, 2-butanone or acetone. (Scheme 27259801a) 2) The asymmetric oxidation of the pro-chiral sulfide (VI) carried out by biooxidation with various microorganisms; among them, the best results (>99% e.e.) were obtained with Penicillium frequentans BPFC 386, Penicillium frequentans BPFC 585, and Brevibacterium praffinoliticum ATCC 21195. (Scheme 27259801a) 3) The asymmetric oxidation of the pro-chiral intermediate (VI) performed with titanium(IV) isopropoxide and cumene hydroperoxide in the presence of (-)-diethyl D-tartrate and DIEA in toluene. Esomeprazole magnesium can be obtained by three different ways: i) by reaction of esomeprazole with magnesium sulfate heptahydrate in aqueous ammonia; ii) by reaction of esomeprazole with magnesium methoxide in methanol or iii) by reaction of esomeprazole sodium, obtained by treatment of esomeprazole with NaOH in 2-butanone, with hydrated magnesium chloride in water.

参考文献No.559727
标题:(S,S)-Diphenylethylethanediamine derivatives as chiral selectors. II. Gasparrini-type bound chiral stationary phase with high enantioselectivity for naphthylamides
作者:Steiner, U.; Lindner, W.; Uray, G.
来源:J Chromatogr 1991,553(1-2),373
合成路线图解说明:

Esomeprazole can be obtained by several related ways: 1) The NaOH-mediated condensation of 2-(chloromethyl)-4-methoxy-3,5-dimethylpyridine (II), obtained by reaction of the hydroxymethylpyridine (I) with SOCl2, with 5-methoxy-1H-benzimidazole-2-thiol (V), obtained by cyclization of 4-methoxy-o-phenylenediamine (III) with potassium ethylxanthate (IV), gives 5-methoxy-2-(4-methoxy-3,5-dimethylpyridin-2-ylmethylsulfanyl)-1H-benzimidazole (VI), which is oxidized with m-chloroperbenzoic acid, yielding racemic omeprazole (VII). The optical resolution of (VII) can be performed by chiral chromatography using several different chiral stationary phases, or by stereoselective bioreduction of the undesired (+)-enantiomer with a purified preparation of DMSO reductase from Rhodobacter capsulatus DSM 938 that, after reversed phase HPLC separation of the reduced sulfanyl derivative (VI), affords an enantiomerically enriched (15:85) mixture of the (+)- and (-)-enantiomers. Finally, this mixture is submitted to chiral HPLC separation or fractional crystallization in either acetonitrile, 2-butanone or acetone. (Scheme 27259801a) 2) The asymmetric oxidation of the pro-chiral sulfide (VI) carried out by biooxidation with various microorganisms; among them, the best results (>99% e.e.) were obtained with Penicillium frequentans BPFC 386, Penicillium frequentans BPFC 585, and Brevibacterium praffinoliticum ATCC 21195. (Scheme 27259801a) 3) The asymmetric oxidation of the pro-chiral intermediate (VI) performed with titanium(IV) isopropoxide and cumene hydroperoxide in the presence of (-)-diethyl D-tartrate and DIEA in toluene. Esomeprazole magnesium can be obtained by three different ways: i) by reaction of esomeprazole with magnesium sulfate heptahydrate in aqueous ammonia; ii) by reaction of esomeprazole with magnesium methoxide in methanol or iii) by reaction of esomeprazole sodium, obtained by treatment of esomeprazole with NaOH in 2-butanone, with hydrated magnesium chloride in water.

参考文献No.559728
标题:Chiral stationary phases based on intact and fragmented cellobiohydrolase I immobilized on silica
作者:Isaksson, R.; Pettersson, G.; Marle, I.; J鰊sson, S.; Pettersson, C.
来源:J Chromatogr 1993,648(2),333
合成路线图解说明:

Esomeprazole can be obtained by several related ways: 1) The NaOH-mediated condensation of 2-(chloromethyl)-4-methoxy-3,5-dimethylpyridine (II), obtained by reaction of the hydroxymethylpyridine (I) with SOCl2, with 5-methoxy-1H-benzimidazole-2-thiol (V), obtained by cyclization of 4-methoxy-o-phenylenediamine (III) with potassium ethylxanthate (IV), gives 5-methoxy-2-(4-methoxy-3,5-dimethylpyridin-2-ylmethylsulfanyl)-1H-benzimidazole (VI), which is oxidized with m-chloroperbenzoic acid, yielding racemic omeprazole (VII). The optical resolution of (VII) can be performed by chiral chromatography using several different chiral stationary phases, or by stereoselective bioreduction of the undesired (+)-enantiomer with a purified preparation of DMSO reductase from Rhodobacter capsulatus DSM 938 that, after reversed phase HPLC separation of the reduced sulfanyl derivative (VI), affords an enantiomerically enriched (15:85) mixture of the (+)- and (-)-enantiomers. Finally, this mixture is submitted to chiral HPLC separation or fractional crystallization in either acetonitrile, 2-butanone or acetone. (Scheme 27259801a) 2) The asymmetric oxidation of the pro-chiral sulfide (VI) carried out by biooxidation with various microorganisms; among them, the best results (>99% e.e.) were obtained with Penicillium frequentans BPFC 386, Penicillium frequentans BPFC 585, and Brevibacterium praffinoliticum ATCC 21195. (Scheme 27259801a) 3) The asymmetric oxidation of the pro-chiral intermediate (VI) performed with titanium(IV) isopropoxide and cumene hydroperoxide in the presence of (-)-diethyl D-tartrate and DIEA in toluene. Esomeprazole magnesium can be obtained by three different ways: i) by reaction of esomeprazole with magnesium sulfate heptahydrate in aqueous ammonia; ii) by reaction of esomeprazole with magnesium methoxide in methanol or iii) by reaction of esomeprazole sodium, obtained by treatment of esomeprazole with NaOH in 2-butanone, with hydrated magnesium chloride in water.

参考文献No.559732
标题:Diphenylethanediamine derivatives as chiral selectors. VIII. Influence of the second amido function on the high-performance liquid chromatographic enantioseparation characteristics of (N-3,5-dinitrobenzoyl)-diphenylethanediamine based chiral stationary ph
作者:Niederreiter, K.S.; Maier, N.M.; Spitaler, M.M.; Uray, G.
来源:J Chromatogr 1998,799(1-2),67
合成路线图解说明:

Esomeprazole can be obtained by several related ways: 1) The NaOH-mediated condensation of 2-(chloromethyl)-4-methoxy-3,5-dimethylpyridine (II), obtained by reaction of the hydroxymethylpyridine (I) with SOCl2, with 5-methoxy-1H-benzimidazole-2-thiol (V), obtained by cyclization of 4-methoxy-o-phenylenediamine (III) with potassium ethylxanthate (IV), gives 5-methoxy-2-(4-methoxy-3,5-dimethylpyridin-2-ylmethylsulfanyl)-1H-benzimidazole (VI), which is oxidized with m-chloroperbenzoic acid, yielding racemic omeprazole (VII). The optical resolution of (VII) can be performed by chiral chromatography using several different chiral stationary phases, or by stereoselective bioreduction of the undesired (+)-enantiomer with a purified preparation of DMSO reductase from Rhodobacter capsulatus DSM 938 that, after reversed phase HPLC separation of the reduced sulfanyl derivative (VI), affords an enantiomerically enriched (15:85) mixture of the (+)- and (-)-enantiomers. Finally, this mixture is submitted to chiral HPLC separation or fractional crystallization in either acetonitrile, 2-butanone or acetone. (Scheme 27259801a) 2) The asymmetric oxidation of the pro-chiral sulfide (VI) carried out by biooxidation with various microorganisms; among them, the best results (>99% e.e.) were obtained with Penicillium frequentans BPFC 386, Penicillium frequentans BPFC 585, and Brevibacterium praffinoliticum ATCC 21195. (Scheme 27259801a) 3) The asymmetric oxidation of the pro-chiral intermediate (VI) performed with titanium(IV) isopropoxide and cumene hydroperoxide in the presence of (-)-diethyl D-tartrate and DIEA in toluene. Esomeprazole magnesium can be obtained by three different ways: i) by reaction of esomeprazole with magnesium sulfate heptahydrate in aqueous ammonia; ii) by reaction of esomeprazole with magnesium methoxide in methanol or iii) by reaction of esomeprazole sodium, obtained by treatment of esomeprazole with NaOH in 2-butanone, with hydrated magnesium chloride in water.

参考文献No.559734
标题:Diphenylethanediamine (DPEDA) derivatives as chiral selectors: IV. A comparison of 3,5-dinitrobenzoylated (S,S)- and (S,R)-DPEDA-derived chiral stationary phases with Pirkle's standard (R)-phenylglycine-derived phase in normal phase HPLC
作者:Uray, G.; Kleidernigg, O.P.; Maier, N.M.; Lindner, W.
来源:Chirality 1994,6(2),116
合成路线图解说明:

Esomeprazole can be obtained by several related ways: 1) The NaOH-mediated condensation of 2-(chloromethyl)-4-methoxy-3,5-dimethylpyridine (II), obtained by reaction of the hydroxymethylpyridine (I) with SOCl2, with 5-methoxy-1H-benzimidazole-2-thiol (V), obtained by cyclization of 4-methoxy-o-phenylenediamine (III) with potassium ethylxanthate (IV), gives 5-methoxy-2-(4-methoxy-3,5-dimethylpyridin-2-ylmethylsulfanyl)-1H-benzimidazole (VI), which is oxidized with m-chloroperbenzoic acid, yielding racemic omeprazole (VII). The optical resolution of (VII) can be performed by chiral chromatography using several different chiral stationary phases, or by stereoselective bioreduction of the undesired (+)-enantiomer with a purified preparation of DMSO reductase from Rhodobacter capsulatus DSM 938 that, after reversed phase HPLC separation of the reduced sulfanyl derivative (VI), affords an enantiomerically enriched (15:85) mixture of the (+)- and (-)-enantiomers. Finally, this mixture is submitted to chiral HPLC separation or fractional crystallization in either acetonitrile, 2-butanone or acetone. (Scheme 27259801a) 2) The asymmetric oxidation of the pro-chiral sulfide (VI) carried out by biooxidation with various microorganisms; among them, the best results (>99% e.e.) were obtained with Penicillium frequentans BPFC 386, Penicillium frequentans BPFC 585, and Brevibacterium praffinoliticum ATCC 21195. (Scheme 27259801a) 3) The asymmetric oxidation of the pro-chiral intermediate (VI) performed with titanium(IV) isopropoxide and cumene hydroperoxide in the presence of (-)-diethyl D-tartrate and DIEA in toluene. Esomeprazole magnesium can be obtained by three different ways: i) by reaction of esomeprazole with magnesium sulfate heptahydrate in aqueous ammonia; ii) by reaction of esomeprazole with magnesium methoxide in methanol or iii) by reaction of esomeprazole sodium, obtained by treatment of esomeprazole with NaOH in 2-butanone, with hydrated magnesium chloride in water.

参考文献No.559951
标题:Esomeprazole Magnesium
作者:Casta馿r, R.M.; Casta馿r, J.; Graul, A.
来源:Drugs Fut 1999,24(11),1178
合成路线图解说明:

Esomeprazole can be obtained by several related ways: 1) The NaOH-mediated condensation of 2-(chloromethyl)-4-methoxy-3,5-dimethylpyridine (II), obtained by reaction of the hydroxymethylpyridine (I) with SOCl2, with 5-methoxy-1H-benzimidazole-2-thiol (V), obtained by cyclization of 4-methoxy-o-phenylenediamine (III) with potassium ethylxanthate (IV), gives 5-methoxy-2-(4-methoxy-3,5-dimethylpyridin-2-ylmethylsulfanyl)-1H-benzimidazole (VI), which is oxidized with m-chloroperbenzoic acid, yielding racemic omeprazole (VII). The optical resolution of (VII) can be performed by chiral chromatography using several different chiral stationary phases, or by stereoselective bioreduction of the undesired (+)-enantiomer with a purified preparation of DMSO reductase from Rhodobacter capsulatus DSM 938 that, after reversed phase HPLC separation of the reduced sulfanyl derivative (VI), affords an enantiomerically enriched (15:85) mixture of the (+)- and (-)-enantiomers. Finally, this mixture is submitted to chiral HPLC separation or fractional crystallization in either acetonitrile, 2-butanone or acetone. (Scheme 27259801a) 2) The asymmetric oxidation of the pro-chiral sulfide (VI) carried out by biooxidation with various microorganisms; among them, the best results (>99% e.e.) were obtained with Penicillium frequentans BPFC 386, Penicillium frequentans BPFC 585, and Brevibacterium praffinoliticum ATCC 21195. (Scheme 27259801a) 3) The asymmetric oxidation of the pro-chiral intermediate (VI) performed with titanium(IV) isopropoxide and cumene hydroperoxide in the presence of (-)-diethyl D-tartrate and DIEA in toluene. Esomeprazole magnesium can be obtained by three different ways: i) by reaction of esomeprazole with magnesium sulfate heptahydrate in aqueous ammonia; ii) by reaction of esomeprazole with magnesium methoxide in methanol or iii) by reaction of esomeprazole sodium, obtained by treatment of esomeprazole with NaOH in 2-butanone, with hydrated magnesium chloride in water.

合成路线图解说明:

4) The reaction of racemic omeprazole (VII) with formaldehyde in dichloromethane gives, after crystallization in acetonitrile, 1-(hydroxymethyl)-6-methoxy-2-(4-methoxy-3,5-dimethyl-2-pyridinylmethylsulfinyl)-1H-benzimidazole (VIII), which is treated with SOCl2 in dichloromethane to afford, after crystallization in acetonitrile, the corresponding chloromethyl derivative (IX). The condensation of (IX) with (R)-2-hydroxy-2-phenylacetic acid (X) by means of NaOH and tetrabutylammonium hydrogen sulfate in water gives the corresponding ester (XI) as a diastereomeric mixture, which is resolved by reverse phase chromatography. Finally, the suitable isomer is hydrolyzed to esomeprazole by treatment with NaOH in methanol. (Scheme 27259802a) Esomeprazole magnesium can be obtained by three different ways: i) by reaction of esomeprazole with magnesium sulfate heptahydrate in aqueous ammonia; ii) by reaction of esomeprazole with magnesium methoxide in methanol or iii) by reaction of esomeprazole sodium, obtained by treatment of esomeprazole with NaOH in 2-butanone, with hydrated magnesium chloride in water. (Schemes 27259801a and 27259802a)

Drug Information Express,Drug R&D,Chemical Database,Patent Search.
Copyright © 2006-2026 Drug Future. All rights reserved.Contact Us