【药物名称】VN-2222
化学结构式(Chemical Structure):
参考文献No.38263
标题:Cpds. derived from thiophene and benzothiophene, and related utilisation and compsn.
作者:Bosch Rovira, A.; Roca Acin, J.; Monge Vega, A.; Del Rio Zambrana, J.; Palop Cubillo, J.A.; Lasheras Aldaz, B.; Del Castillo Nieto, J.C. (Laboratorios Vita, SA)
来源:EP 1008594; ES 2128266; JP 2002511883; US 6262056; WO 9902516
合成路线图解说明:

Mannich reaction of N-(2-methoxyphenyl)piperazine (I) with 3-acetylbenzothiophene (II) in the presence of paraformaldehyde and HCl in refluxing EtOH leads to the piperazinyl propanone (III). Subsequent keto group reduction with NaBH4 gives the target alcohol.

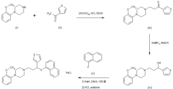
合成路线图解说明:

Mannich reaction of N-(2-methoxyphenyl)piperazine (I) with 3-acetylthiophene (II) in the presence of paraformaldehyde and HCl in refluxing EtOH leads to the piperazinyl propanone (III). Subsequent keto group reduction with NaBH4 gives alcohol (IV). This is then condensed with 1-fluoronaphthalene (V) in the presence of NaH to produce the title naphthyl ether.

参考文献No.605696
标题:New 1-aryl-3-(4-arylpiperazin-1-yl)propane derivatives, with dual action at 5-HT1A serotonin receptors and serotonin transporter, as a new class of antidepressants
作者:Mart韓ez-Esparza, J.; Oficialdegui, A.-M.; P閞ez-Sailanes, S.; Heras, B.; Orus, L.; Palop, J.A.; Lasheras, B.; Roca, J.; Mourelle, M.; Bosch, A.; Del Castillo, J.C.; Tordera, R.; del Rio, J.; Monge, A.
来源:J Med Chem 2001,44(3),418
合成路线图解说明:

Mannich reaction of N-(2-methoxyphenyl)piperazine (I) with 3-acetylbenzothiophene (II) in the presence of paraformaldehyde and HCl in refluxing EtOH leads to the piperazinyl propanone (III). Subsequent keto group reduction with NaBH4 gives the target alcohol.

合成路线图解说明:

Mannich reaction of N-(2-methoxyphenyl)piperazine (I) with 3-acetylthiophene (II) in the presence of paraformaldehyde and HCl in refluxing EtOH leads to the piperazinyl propanone (III). Subsequent keto group reduction with NaBH4 gives alcohol (IV). This is then condensed with 1-fluoronaphthalene (V) in the presence of NaH to produce the title naphthyl ether.

Drug Information Express,Drug R&D,Chemical Database,Patent Search.
Copyright © 2006-2026 Drug Future. All rights reserved.Contact Us