【药物名称】R-146225
化学结构式(Chemical Structure):
参考文献No.38260
标题:IL-5 inhibiting 6-azauracil derivs.
作者:Freyne, E.J.E.; Lacrampe, J.F.A.; Boeckx, G.M.; Venet, M.G. (Janssen Pharmaceutica NV)
来源:EP 1000040; WO 9902505
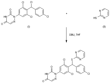
合成路线图解说明:

The title compound was prepared by condensation of chloro derivative (I) with 2-mercaptopyrimidine (II) in the presence of DBU in THF.

Drug Information Express,Drug R&D,Chemical Database,Patent Search.
Copyright © 2006-2026 Drug Future. All rights reserved.Contact Us