| 参考文献No. | 486219 |
| 标题: | Indole and benzimidazole derivatives as steroid 5alpha-reductase inhibitors in the rat prostate |
| 作者: | Takami, H.; Kishibayashi, N.; Ishii, A.; Kumazawa, T. |
| 来源: | Bioorg Med Chem 1998,6(12),2441 |
 |
| 合成路线图解说明: The target compound has been obtained by hydrolysis of 4-[2-[1-[bis(4-propyolphenyl)methyl]indol-5-yl]phenoxy]butyric acid ethyl ester (I) with NaOH in aqueous ethanol.
The intermediate butyric ester (I) corresponds to the product of entry number 272125 and has been obtained by two related ways, (see the syntheses corresponding to the entry number 272515). |
 |
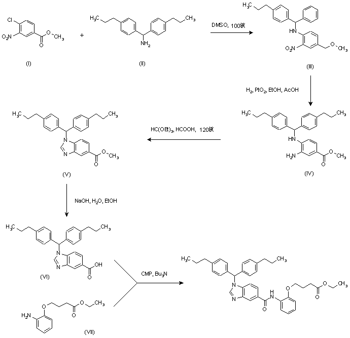
| 合成路线图解说明: The condensation of methyl 4-chloro-3-nitrobenzoate (I) with dipropylbenzhydryl amine (II), followed by reduction of the nitro group of the resulting (III) with H2 in the presence of PtO2 yielded diamine (IV). Treatment of (IV) with triethyl orthoformate and formic acid at 120 C produced the benzimidazole (V), which was hydrolyzed with NaOH to the benzimidazolecarboxylic (VI). Finally, acid (VI) was condensed with aniline (VII) using 2-chloro-1-methylpyridinium iodide (CMP) and Bu3N to furnish the target amide. |
 |
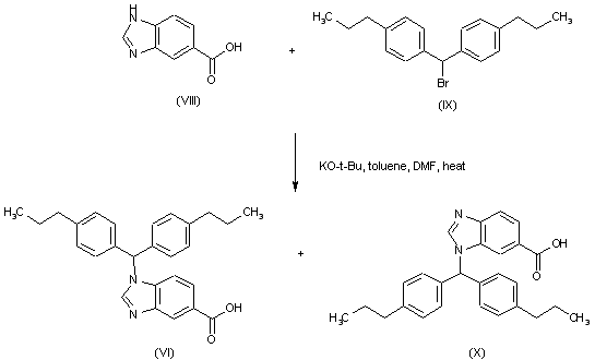
| 合成路线图解说明: The intermediate benzimidazolecarboxylic acid (VI) cal also be obtained as follows:
Alkylation of benzimidazole-5-carboxylic acid (VIII) with 4,4'-dipropylbenzhydryl bromide (XI) afforded a mixture of alkylated benzimidazoles (VI) and (X), which were separated by column chromatography. |
 |
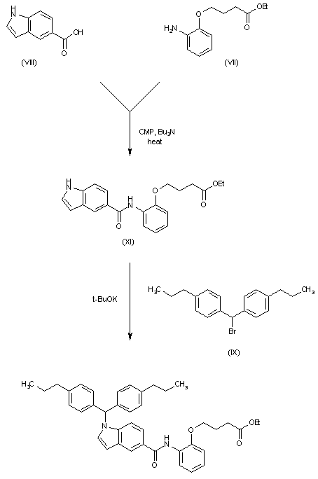
| 合成路线图解说明: Imidazole-5-carboxylic acid (VIII) was condensed with the aniline (VII) using 2-chloro-1-methylpyridinium iodide (CMP) and Bu3N to afford amide (XI). Subsequent alkylation of the indole nitrogen atom of (XI) with 4,4'-dipropylbenzhydryl bromide (IX) in the presence of t-BuOK provided the target compound. |