【药物名称】Revaprazan hydrochloride, SB-641257A, YH-1885
化学结构式(Chemical Structure):
参考文献No.24364
标题:Quinazoline derivs.
作者:Lee, J.W.; Chae, J.S.; Kim, C.S.; Kim, J.K.; Lim, D.S.; Shon, M.K.; Jo, D.W. (Yuhan Corp.)
来源:EP 0677049; WO 9414795
合成路线图解说明:

The intermediate tetrahydroisoquinoline (IV) has been prepared by two synthetic strategies. Condensation of alpha-methyl benzylamine (I) with alpha-chloro-alpha-(methylsulfanyl)acetyl chloride (II) in the presence of SnCl2 furnished the tetrahydroisoquinolinone (III). Reductive cleavage of the methylsulfanyl group of (III) employing Raney-Ni, followed by lactam reduction, provided intermediate (IV).

合成路线图解说明:

In a different method, cetylation of phenethylamine (XVI) with acetyl chloride (XVII) by means of Et3N in dichloromethane provides N-(2-phenylethyl)acetamide (XVIII), which is cyclized with hot polyphosphoric acid to afford 1-methyl-3,4-dihydroisoquinoline (XIX). Finally, compound (XIX) is reduced with sodium borohydride in EtOH.

参考文献No.29447
标题:Novel pyrimidine derivs. and processes for the preparation thereof
作者:Lee, J.W.; Chae, J.S.; Kim, C.S.; Kim, J.K.; Lim, D.S.; Shon, M.K.; Choi, Y.S.; Lee, S.H. (Yuhan Corp.)
来源:EP 0775120; JP 1997509188; US 5750531; WO 9605177
合成路线图解说明:

Chlorination of 5,6-dimethyl-2,4-dihydroxypyrimidine (VIII) using phosphorus oxychloride in the presence of N,N-dimethylaniline provided dichloropyrimidine (IX). The 4-chloro group of (IX) was then selectively displaced with tetrahydroisoquinoline (IV) to afford adduct (X). The title compound was then obtained by condensation of the 2-chloropyrimidine (X) with 4-fluoroaniline (XI), followed by conversion to the corresponding hydrochloride salt

参考文献No.42077
标题:Process for preparation of pyrmidine derivs.
作者:Lee, Y.N.; Hong, Y.W.; Kim, H.B. (Yuhan Corp.)
来源:US 5990311; WO 9742186
合成路线图解说明:

In a different method, amine (I) was alkylated with 2-bromoethanol (V) to give the N-(hydroxyethyl) amine (VI), which was further converted to bromo amine (VII) by treatment with concentrated HBr. Friedel-Crafts cyclization of (VII) upon heating in the presence of AlCl3 furnished tetrahydroisoquinoline (IV).

合成路线图解说明:

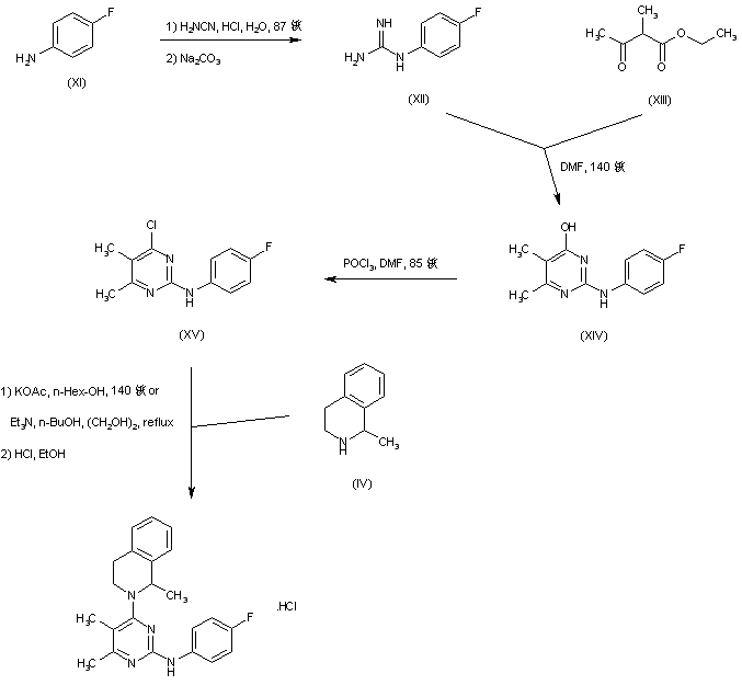
In an alternative procedure, 4-fluoroaniline (XI) was condensed with cyanamide under acidic conditions to afford the fluorophenyl guanidine (XII). Cyclization of guanidine (XII) with ethyl 2-methylacetoacetate (XIII) in hot DMF produced pyrimidine (XIV). After chlorination of (XIV) with POCl3, the resultant chloropyrimidine (XV) was condensed with tetrahydroisoquinoline (IV) in the presence of either KOAc or Et3N to furnish the title diaminopyrimidine.

参考文献No.68735
标题:Process for preparation of pyrimidine derivs.
作者:Lee, Y.N.; Hong, Y.W.; Kim, H.B. (Yuhan Corp.)
来源:WO 9818784
合成路线图解说明:

In a different method, amine (I) was alkylated with 2-bromoethanol (V) to give the N-(hydroxyethyl) amine (VI), which was further converted to bromo amine (VII) by treatment with concentrated HBr. Friedel-Crafts cyclization of (VII) upon heating in the presence of AlCl3 furnished tetrahydroisoquinoline (IV).

合成路线图解说明:

In an alternative procedure, 4-fluoroaniline (XI) was condensed with cyanamide under acidic conditions to afford the fluorophenyl guanidine (XII). Cyclization of guanidine (XII) with ethyl 2-methylacetoacetate (XIII) in hot DMF produced pyrimidine (XIV). After chlorination of (XIV) with POCl3, the resultant chloropyrimidine (XV) was condensed with tetrahydroisoquinoline (IV) in the presence of either KOAc or Et3N to furnish the title diaminopyrimidine.

参考文献No.69520
标题:Process for preparing 1-methyl-1,2,3,4-tetrahydroisoquinoline or a salt thereof
作者:Breen, G.F.; Forth, M.A.; Popkin, M.E.
来源:WO 0288088
合成路线图解说明:

In a different method, amine (I) was alkylated with 2-bromoethanol (V) to give the N-(hydroxyethyl) amine (VI), which was further converted to bromo amine (VII) by treatment with concentrated HBr. Friedel-Crafts cyclization of (VII) upon heating in the presence of AlCl3 furnished tetrahydroisoquinoline (IV).

合成路线图解说明:

In an alternative procedure, 4-fluoroaniline (XI) was condensed with cyanamide under acidic conditions to afford the fluorophenyl guanidine (XII). Cyclization of guanidine (XII) with ethyl 2-methylacetoacetate (XIII) in hot DMF produced pyrimidine (XIV). After chlorination of (XIV) with POCl3, the resultant chloropyrimidine (XV) was condensed with tetrahydroisoquinoline (IV) in the presence of either KOAc or Et3N to furnish the title diaminopyrimidine.

参考文献No.807945
标题:Revaprazan Hydrochloride
作者:Casta馿r, J.; Mart韓, L.; Sorbera, L.A.
来源:Drugs Fut 2004,29(5),455
合成路线图解说明:

Chlorination of 5,6-dimethyl-2,4-dihydroxypyrimidine (VIII) using phosphorus oxychloride in the presence of N,N-dimethylaniline provided dichloropyrimidine (IX). The 4-chloro group of (IX) was then selectively displaced with tetrahydroisoquinoline (IV) to afford adduct (X). The title compound was then obtained by condensation of the 2-chloropyrimidine (X) with 4-fluoroaniline (XI), followed by conversion to the corresponding hydrochloride salt

合成路线图解说明:

In an alternative procedure, 4-fluoroaniline (XI) was condensed with cyanamide under acidic conditions to afford the fluorophenyl guanidine (XII). Cyclization of guanidine (XII) with ethyl 2-methylacetoacetate (XIII) in hot DMF produced pyrimidine (XIV). After chlorination of (XIV) with POCl3, the resultant chloropyrimidine (XV) was condensed with tetrahydroisoquinoline (IV) in the presence of either KOAc or Et3N to furnish the title diaminopyrimidine.

合成路线图解说明:

In a different method, cetylation of phenethylamine (XVI) with acetyl chloride (XVII) by means of Et3N in dichloromethane provides N-(2-phenylethyl)acetamide (XVIII), which is cyclized with hot polyphosphoric acid to afford 1-methyl-3,4-dihydroisoquinoline (XIX). Finally, compound (XIX) is reduced with sodium borohydride in EtOH.

Drug Information Express,Drug R&D,Chemical Database,Patent Search.
Copyright © 2006-2026 Drug Future. All rights reserved.Contact Us