【药物名称】
化学结构式(Chemical Structure):
参考文献No.30460
标题:Esters and amides of non-steroidal anti-inflammatory carboxylic acids which may be used as anti-oxidants, 5-lipoxygenase inhibitors and non-steroidal anti-inflammatory products
作者:Hellberg, M.; Graff, G.; Gamache, D.A.; Nixon, J.C.; Garner, W.H. (Alcon Laboratories, Inc.)
来源:EP 0799219; JP 1998511663; WO 9620187
合成路线图解说明:

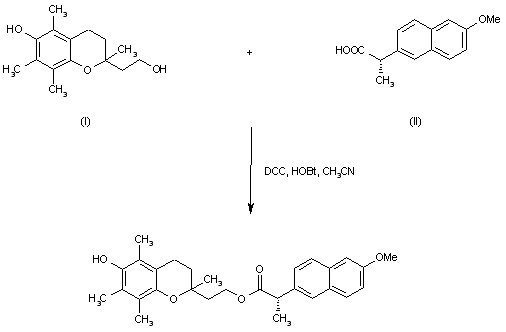
The title compound was prepared by coupling of 2-(3,4-dihydro-6-hydroxy-2,5,7,8-tetramethyl-2H-1-benzopyran-2-yl)ethanol (I) with (S)-naproxen (II) by means of DCC and HOBt in acetonitrile.

参考文献No.487971
标题:Novel esters and amides of nonsteroidal antiinflammatory carboxylic acids as antioxidants and antiproliferative agents
作者:Hellberg, M.R.; Namil, A.; Delgado, P.; David, K.C.; Kessler, T.L.; Graff, G.; Haggard, K.S.; Nixon, J.C.
来源:J Med Chem 1999,42(2),267
合成路线图解说明:

The title compound was prepared by coupling of 2-(3,4-dihydro-6-hydroxy-2,5,7,8-tetramethyl-2H-1-benzopyran-2-yl)ethanol (I) with (S)-naproxen (II) by means of DCC and HOBt in acetonitrile.

Drug Information Express,Drug R&D,Chemical Database,Patent Search.
Copyright © 2006-2026 Drug Future. All rights reserved.Contact Us