【药物名称】
化学结构式(Chemical Structure):
参考文献No.487964
标题:New bicyclam-AZT conjugates: Design, synthesis, anti-HIV evaluation, and their interaction with CXCR-4 coreceptor
作者:Dessolin, J.; Galea, P.; Vlieghe, P.; Chermann, J.-C.; Kraus, J.-L.
来源:J Med Chem 1999,42(2),229
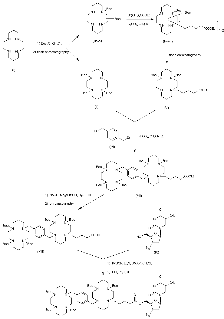
合成路线图解说明:

Protection of tetraazacyclotetradecane (I) with Boc2O, followed flash chromatography, provided the tri-N-Boc derivative (II) and an unseparable mixture of three isomeric di-N-Boc macrocycles (III). Alkylation of this mixture with ethyl 5-bromovalerate gave a mixture of mono- and dialkylated compounds (IV), from which the required isomer (V) was isolated by flash chromatography. Then, condensation of tri-Boc derivative (II) and monoalkylated di-Boc derivative (V) with alpha-alpha'-dibromo-p-xylene (VI) yielded the desired unsymmetrical bis-macrocycle (VII) along with two symmetrical bis-macrocycle dimers. Subsequent hydrolysis of this mixture with NaOH in the presence of a catalytic amount of Triton B, followed by chromatographic separation, provided pure carboxylic acid (VIII). Further coupling of (VIII) with azidothymidine (IX) using benzotriazol-1-yloxy-tris(pyrrolidino) phosphonium hexafluorophosphate (PyBOP), and final acid deprotection of the Boc groups furnished the title compound.

Drug Information Express,Drug R&D,Chemical Database,Patent Search.
Copyright © 2006-2026 Drug Future. All rights reserved.Contact Us