【药物名称】
化学结构式(Chemical Structure):
参考文献No.569169
标题:Structure-based design of potent, amidine-derived inhibitors of factor Xa: Evaluation of selectivity, anticoagulant activity, and antithrombotic activity
作者:Wiley, M.R.; Weir, L.C.; Briggs, S.; Bryan, N.A.; Buben, J.; Campbell, C.; Chirgadze, N.Y.; Conrad, R.C.; Craft, T.J.; Ficorilli, J.V.; Franciskovich, J.B.; Froelich, L.L.; Gifford-Moore, D.S.; Goodson, T. Jr.; Herron, D.K.; Klimkowski, V.J.; et al.
来源:J Med Chem 2000,43(5),883
合成路线图解说明:

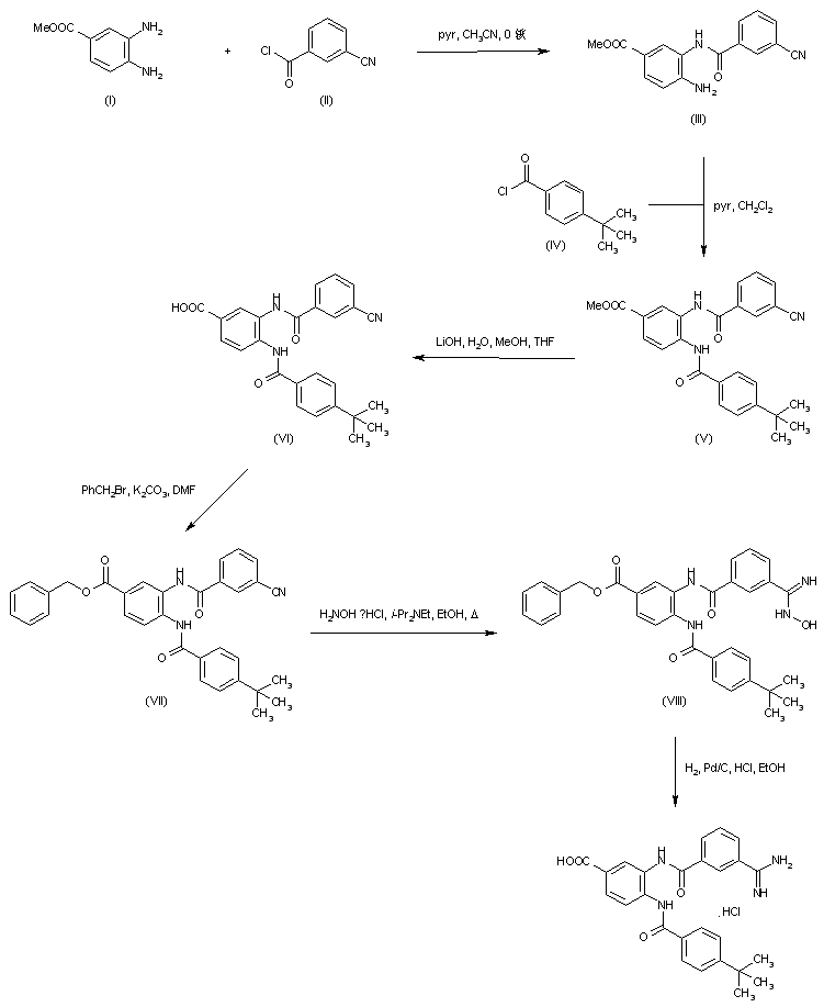
Regioselective coupling of methyl 3,4-diaminobenzoate (I) with 3-cyanobenzoyl chloride (II) afforded benzamide (III). Further coupling of (III) with 4-tert-butylbenzoyl chloride (IV) gave diamide (V). Conversion of the methyl ester group of (V) into the benzyl ester analogue (VII) was effected by hydrolysis with LiOH, followed by treatment of the resulting carboxylic acid (VI) with benzyl bromide. Addition of hydroxylamine to the cyano group of (VII) gave rise to amidoxime (VIII). Subsequent hydrogenation of (VIII) over Pd/C produced the title amidine.

Drug Information Express,Drug R&D,Chemical Database,Patent Search.
Copyright © 2006-2026 Drug Future. All rights reserved.Contact Us