【药物名称】KNK-437
化学结构式(Chemical Structure):
参考文献No.38153
标题:Heat shock factor activity inhibitors
作者:Fuse, Y.; Kitahara, M.; Yamamoto, K.; Yokota, S.; Morikawa, S. (Kaneka Corp.)
来源:EP 0995745; WO 9900382
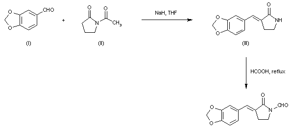
合成路线图解说明:

Condensation of piperonal (I) with N-acetyl-2-pyrrolidone (II) in the presence of NaH in THF afforded the benzylidene pyrrolidone (III). The title formamide was then obtained upon refluxing of (III) with formic acid with azeotropical removal of water.

Drug Information Express,Drug R&D,Chemical Database,Patent Search.
Copyright © 2006-2026 Drug Future. All rights reserved.Contact Us