【药物名称】
化学结构式(Chemical Structure):
参考文献No.481192
标题:Synthesis, antifungal activity and antibacterial evaluation of some 3-piperazinylmethyl-5-aryl-1H-1,2,4-triazoles
作者:Chytiroglou-Lada, A.; Filippatos, E.C.; Papakonstantinou-Garoufalias, S.S.; Papadaki-Valiraki, A.E.; Todoulou, O.G.
来源:Arzneim-Forsch Drug Res 1998,48(10),1019
合成路线图解说明:

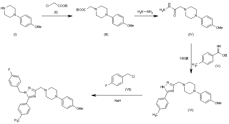
The condensation of 1-(4-methoxyphenyl)piperazine (I) with ethyl chloroacetate (II) gives the expected condensation product (III), which by treatment with hydrazine in converted into the corresponding hydrazide (IV). The cyclization of (IV) with benzimidate (V) by heating at 180 C affords the triazole (VI), which is finally condensed with 4-fluorobenzyl chloride (VII) by means of NaH in DMF.

合成路线图解说明:

The condensation of 1-(4-methoxyphenyl)piperazine (I) with ethyl chloroacetate (II) gives the expected condensation product (III), which by treatment with hydrazine in converted into the corresponding hydrazide (IV). The cyclization of (IV) with 4-methylbenzimidate (V) by heating at 180 C affords the triazole (VI), which is finally condensed with 4-fluorobenzyl chloride (VII) by means of NaH in DMF.

Drug Information Express,Drug R&D,Chemical Database,Patent Search.
Copyright © 2006-2026 Drug Future. All rights reserved.Contact Us