【药物名称】
化学结构式(Chemical Structure):
参考文献No.15060
标题:Thiophene derivs., process for their preparation and pharmaceutical compsns. containing them
作者:Wierzbicki, M.; Sauveur, F.; Bonnet, J.; Brisset, M.; Tordjman, C. (ADIR et Cie.)
来源:AU 9166901; EP 0429370; FR 2655043; JP 1991190872; US 5061704
合成路线图解说明:

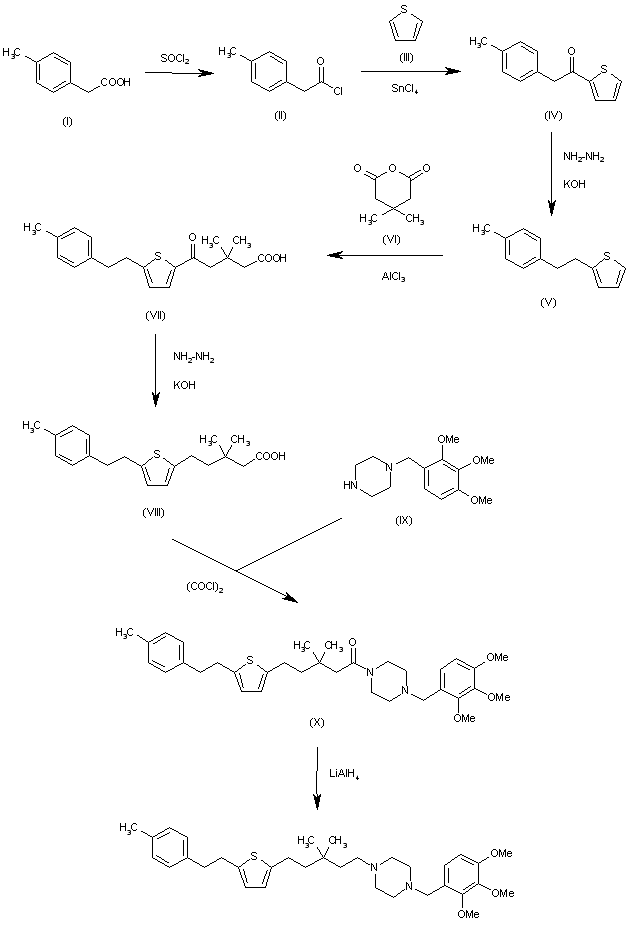
The reaction of 2-(4-methylphenyl)acetic acid (I) with SOCl2 gives the corresponding acyl chloride (II), which is condensed with thiophene (III) by means SnCl4 yielding 2-(4-methylphenyl)-1-(2-thienyl)ethanone (IV). The reduction of (IV) with hydrazine and KOH in hot triethylene glycol affords 2-[2-(4-methylphenyl)ethyl]thiophene (V), which is condensed with 3,3-dimethylglutaric anhydride (VI), by means of AlCl3 in hot nitrobenzene giving the 5-oxopentanoic acid derivative (VII). The reduction of (VII) with hydrazine and KOH as before yields the pentanoic acid derivative (VIII), which is condensed with 4-(2,3,4-trimethoxybenzyl)piperazine (IX) by means of oxalyl chloride to afford the acyl piperazine (X). Finally, the amide group of (X) is reduced with LiAlH4 in ethyl ether.

合成路线图解说明:

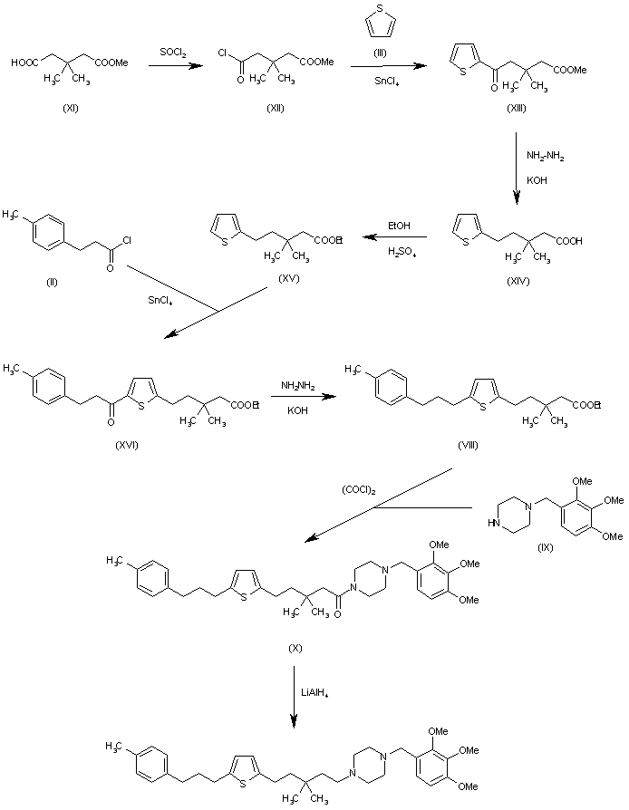
The reaction of 3,3-dimethylglutaric acid monomethyl ester (XI) with SOCl2 in dichloromethane gives the monoacyl chloride (XII), which is condensed with thiophene (III), by means of SnCl4 in dichloromethane yielding the 5-oxopentanoic ester (XIII). The reduction and simultaneous hydrolysis of (XIII) with hydrazine and KOH affords the pentanoic acid (XIV), which is reesterified with ethanol and sulfuric acid to the ester (XV). The condensation of (XV) with the previously described 2-phenylacetyl chloride (II) by means of SnCl4 in dichloromethane gives the ethanone derivative (XVI), which is reduced with hydrazine and KOH to the previously described pentanoic acid (VIII). Its condensation with piperazine (IX) to afford (X) and the final reduction to the target compound have already been described.

合成路线图解说明:

The reaction of 3-(4-methylphenyl)propionic acid (I) with SOCl2 gives the corresponding acyl chloride (II), which is condensed with thiophene (III) by means SnCl4 yielding 3-(4-methylphenyl)-1-(2-thienyl)propan-1-one (IV). The reduction of (IV) with hydrazine and KOH in hot triethylene glycol affords 2-[3-(4-methylphenyl)propyl]thiophene (V), which is condensed with 3,3-dimethyl glutaric anhydride (VI), by means of AlCl3 in hot nitrobenzene giving the 5-oxopentanoic acid derivative (VII). The reduction of (VII) with hydrazine and KOH as before yields the pentanoic acid derivative (VIII), which is condensed with 4-(2,3,4-trimethoxybenzyl)piperazine (IX) by means of oxalyl chloride to afford the acyl piperazine (X). Finally, the amide group of (X) is reduced with LiAlH4 in ethyl ether.

合成路线图解说明:

The reaction of 3,3-dimethylglutaric acid monomethyl ester (XI) with SOCl2 in dichloromethane gives the monoacyl chloride (XII), which is condensed with thiophene (III), by means of SnCl4 in dichloromethane yielding the 5-oxopentanoic ester (XIII). The reduction and simultaneous hydrolysis of (XIII) with hydrazine and KOH affords the pentanoic acid (XIV), which is reesterified with ethanol and sulfuric acid to the ester (XV). The condensation of (XV) with the previously described 3-phenylpropionyl chloride (II) by means of SnCl4 in dichloromethane gives the propanone derivative (XVI), which is reduced with hydrazine and KOH to the previously described pentanoic acid (VIII). Its condensation with piperazine (IX) to afford (X) and the final reduction to the target compound have already been described.

参考文献No.481175
标题:Amino derivatives of phenyl alkyl thiophene as inhibitors of bone resorption. Structure-activity relationship
作者:Wierzbicki, M.; et al.
来源:Arzneim-Forsch Drug Res 1998,48(8),840
合成路线图解说明:

The reaction of 2-(4-methylphenyl)acetic acid (I) with SOCl2 gives the corresponding acyl chloride (II), which is condensed with thiophene (III) by means SnCl4 yielding 2-(4-methylphenyl)-1-(2-thienyl)ethanone (IV). The reduction of (IV) with hydrazine and KOH in hot triethylene glycol affords 2-[2-(4-methylphenyl)ethyl]thiophene (V), which is condensed with 3,3-dimethylglutaric anhydride (VI), by means of AlCl3 in hot nitrobenzene giving the 5-oxopentanoic acid derivative (VII). The reduction of (VII) with hydrazine and KOH as before yields the pentanoic acid derivative (VIII), which is condensed with 4-(2,3,4-trimethoxybenzyl)piperazine (IX) by means of oxalyl chloride to afford the acyl piperazine (X). Finally, the amide group of (X) is reduced with LiAlH4 in ethyl ether.

合成路线图解说明:

The reaction of 3,3-dimethylglutaric acid monomethyl ester (XI) with SOCl2 in dichloromethane gives the monoacyl chloride (XII), which is condensed with thiophene (III), by means of SnCl4 in dichloromethane yielding the 5-oxopentanoic ester (XIII). The reduction and simultaneous hydrolysis of (XIII) with hydrazine and KOH affords the pentanoic acid (XIV), which is reesterified with ethanol and sulfuric acid to the ester (XV). The condensation of (XV) with the previously described 2-phenylacetyl chloride (II) by means of SnCl4 in dichloromethane gives the ethanone derivative (XVI), which is reduced with hydrazine and KOH to the previously described pentanoic acid (VIII). Its condensation with piperazine (IX) to afford (X) and the final reduction to the target compound have already been described.

合成路线图解说明:

The reaction of 3-(4-methylphenyl)propionic acid (I) with SOCl2 gives the corresponding acyl chloride (II), which is condensed with thiophene (III) by means SnCl4 yielding 3-(4-methylphenyl)-1-(2-thienyl)propan-1-one (IV). The reduction of (IV) with hydrazine and KOH in hot triethylene glycol affords 2-[3-(4-methylphenyl)propyl]thiophene (V), which is condensed with 3,3-dimethyl glutaric anhydride (VI), by means of AlCl3 in hot nitrobenzene giving the 5-oxopentanoic acid derivative (VII). The reduction of (VII) with hydrazine and KOH as before yields the pentanoic acid derivative (VIII), which is condensed with 4-(2,3,4-trimethoxybenzyl)piperazine (IX) by means of oxalyl chloride to afford the acyl piperazine (X). Finally, the amide group of (X) is reduced with LiAlH4 in ethyl ether.

合成路线图解说明:

The reaction of 3,3-dimethylglutaric acid monomethyl ester (XI) with SOCl2 in dichloromethane gives the monoacyl chloride (XII), which is condensed with thiophene (III), by means of SnCl4 in dichloromethane yielding the 5-oxopentanoic ester (XIII). The reduction and simultaneous hydrolysis of (XIII) with hydrazine and KOH affords the pentanoic acid (XIV), which is reesterified with ethanol and sulfuric acid to the ester (XV). The condensation of (XV) with the previously described 3-phenylpropionyl chloride (II) by means of SnCl4 in dichloromethane gives the propanone derivative (XVI), which is reduced with hydrazine and KOH to the previously described pentanoic acid (VIII). Its condensation with piperazine (IX) to afford (X) and the final reduction to the target compound have already been described.

Drug Information Express,Drug R&D,Chemical Database,Patent Search.
Copyright © 2006-2026 Drug Future. All rights reserved.Contact Us