【药物名称】BM-212
化学结构式(Chemical Structure):
参考文献No.529694
标题:Studies on anti-Candida agents with a pyrrole moiety. Synthesis and microbiological activity of some 3-aminomethyl-1,5-diaryl-2-methyl-pyrrole derivatives
作者:Retico, A.; Cerreto, F.; Scalzo, M.; Villa, A.
来源:Eur J Med Chem 1992,27(7),701
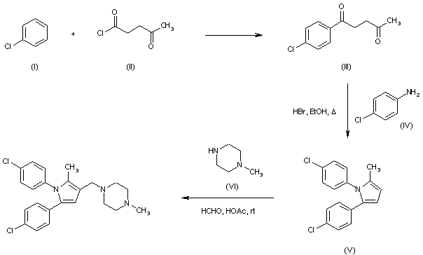
合成路线图解说明:

Friedel-Crafts acylation of chlorobenzene (I) with levulinic acid chloride (II) afforded diketone (III), which was converted to pyrrole (V) by condensation with 4-chloroaniline (IV) in the presence of a catalytic amount of HBr. Mannich reaction of (V) with formaldehyde and N-methylpiperazine (VI) then provided the target aminomethyl pyrrole.

Drug Information Express,Drug R&D,Chemical Database,Patent Search.
Copyright © 2006-2026 Drug Future. All rights reserved.Contact Us