【药物名称】Opaviraline, HBY-1293, GW-867, GW-420867X
化学结构式(Chemical Structure):
参考文献No.29572
标题:Quinoxalines, process for their preparation, and their use
作者:R鰏ner, M.; Billhardt-Troughton, U.-M.; Kirsch, R.; Kleim, J.-P.; Meichsner, C.; Riess, G.; Winkler, I. (Aventis SA)
来源:CA 2160859; DE 4437406; EP 0708093; JP 1996225544; US 5723461
合成路线图解说明:

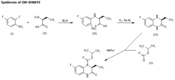
The condensation of 2,4-difluoronitrobenzene (I) with 2(S)-aminobutyric acid (II) by means of triethylamine in refluxing acetone gives 2(S)-(5-fluoro-2-nitrophenylamino)butyric acid (III), which is reductocyclized with H2 over Raney-Ni in methanol/acetic acid, yielding 3(S)-ethyl-6-fluoro-1,2,3,4-tetrahydroquinoxalin-2-one (IV). Finally, this compound is treated with isopropyl chloroformate (V) and 4-methylpyridine in dichloromethane.

参考文献No.564012
标题:GW-420867X
作者:Graul, A.; Casta馿r, J.; Rabasseda, X.
来源:Drugs Fut 2000,25(1),24
合成路线图解说明:

The condensation of 2,4-difluoronitrobenzene (I) with 2(S)-aminobutyric acid (II) by means of triethylamine in refluxing acetone gives 2(S)-(5-fluoro-2-nitrophenylamino)butyric acid (III), which is reductocyclized with H2 over Raney-Ni in methanol/acetic acid, yielding 3(S)-ethyl-6-fluoro-1,2,3,4-tetrahydroquinoxalin-2-one (IV). Finally, this compound is treated with isopropyl chloroformate (V) and 4-methylpyridine in dichloromethane.

Drug Information Express,Drug R&D,Chemical Database,Patent Search.
Copyright © 2006-2026 Drug Future. All rights reserved.Contact Us