【药物名称】Mezlocillin, Multocillin, Mezlin
化学结构式(Chemical Structure):
参考文献No.800675
标题:Mezlocillin
作者:Playle, A.C.; Casta馿r, J.
来源:Drugs Fut 1977,2(9),600
合成路线图解说明:

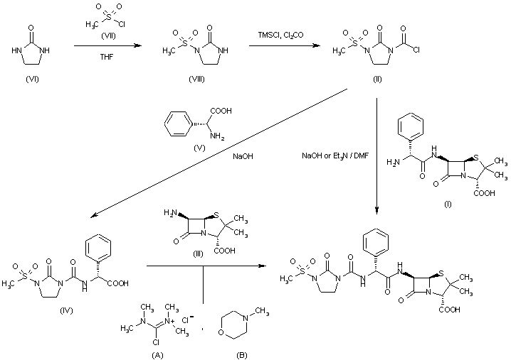
Compound can be prepared in two different ways: 1) By condensation of ampicilline (aminobenzylpenicilline) (I) with 1-chlorocarbonyl-2-oxo-3-mehylsulfonylimidazolidine (II) by means of NaOH in cool water or triethylamine in THF-water. 2) By condensation of 6-aminopenicillanic acid (III) with D-[(3-methylsulfonyl-2-oxoimidazolidin-1-yl)carbonylamino]phenylacetic acid (IV) by means of tetramethylchloroformamidinium chloride (A) and N-methylmorpholine (B) in methylene chloride - THF. The phenylacetic acid (IV) is obtained by condensation of D-phenylglycine (V) with 1-chlorocarbonyl-2-oxo-3-mehylsulfonylimidazolidine (II) by means of NaOH in dioxane - water. The acid chloride (II) is prepared by reaction of 2-imidazolidone (VI) with methanesulfonyl chloride (VII) in refluxing THF to give N-methylsulfonyl-2-imidazolidone (VIII), which is then condensed with phosgene by means of trimethylchlorosilane and triethylamine in dioxane.

参考文献No.800676
标题:Penicillanic acids their production and their medicinal use
作者:Schroeck, W.; et al.
来源:DE 2318955; ES 425197; FR 2225151; GB 1465355; JP 49135990
合成路线图解说明:

Compound can be prepared in two different ways: 1) By condensation of ampicilline (aminobenzylpenicilline) (I) with 1-chlorocarbonyl-2-oxo-3-mehylsulfonylimidazolidine (II) by means of NaOH in cool water or triethylamine in THF-water. 2) By condensation of 6-aminopenicillanic acid (III) with D-[(3-methylsulfonyl-2-oxoimidazolidin-1-yl)carbonylamino]phenylacetic acid (IV) by means of tetramethylchloroformamidinium chloride (A) and N-methylmorpholine (B) in methylene chloride - THF. The phenylacetic acid (IV) is obtained by condensation of D-phenylglycine (V) with 1-chlorocarbonyl-2-oxo-3-mehylsulfonylimidazolidine (II) by means of NaOH in dioxane - water. The acid chloride (II) is prepared by reaction of 2-imidazolidone (VI) with methanesulfonyl chloride (VII) in refluxing THF to give N-methylsulfonyl-2-imidazolidone (VIII), which is then condensed with phosgene by means of trimethylchlorosilane and triethylamine in dioxane.

参考文献No.800677
标题:Penicillins their production and their medicinal use
作者:Koenig, H.B.; et al.
来源:DE 2152967; FR 2157908; GB 1392849; JP 48049787; JP 48049910
合成路线图解说明:

Compound can be prepared in two different ways: 1) By condensation of ampicilline (aminobenzylpenicilline) (I) with 1-chlorocarbonyl-2-oxo-3-mehylsulfonylimidazolidine (II) by means of NaOH in cool water or triethylamine in THF-water. 2) By condensation of 6-aminopenicillanic acid (III) with D-[(3-methylsulfonyl-2-oxoimidazolidin-1-yl)carbonylamino]phenylacetic acid (IV) by means of tetramethylchloroformamidinium chloride (A) and N-methylmorpholine (B) in methylene chloride - THF. The phenylacetic acid (IV) is obtained by condensation of D-phenylglycine (V) with 1-chlorocarbonyl-2-oxo-3-mehylsulfonylimidazolidine (II) by means of NaOH in dioxane - water. The acid chloride (II) is prepared by reaction of 2-imidazolidone (VI) with methanesulfonyl chloride (VII) in refluxing THF to give N-methylsulfonyl-2-imidazolidone (VIII), which is then condensed with phosgene by means of trimethylchlorosilane and triethylamine in dioxane.

参考文献No.800678
标题:Penicillin compounds their production and their medicinal use
作者:Koenig, H.B.; et al.
来源:DE 2152968; FR 2157909; GB 1392850; JP 48049788; JP 48049911
合成路线图解说明:

Compound can be prepared in two different ways: 1) By condensation of ampicilline (aminobenzylpenicilline) (I) with 1-chlorocarbonyl-2-oxo-3-mehylsulfonylimidazolidine (II) by means of NaOH in cool water or triethylamine in THF-water. 2) By condensation of 6-aminopenicillanic acid (III) with D-[(3-methylsulfonyl-2-oxoimidazolidin-1-yl)carbonylamino]phenylacetic acid (IV) by means of tetramethylchloroformamidinium chloride (A) and N-methylmorpholine (B) in methylene chloride - THF. The phenylacetic acid (IV) is obtained by condensation of D-phenylglycine (V) with 1-chlorocarbonyl-2-oxo-3-mehylsulfonylimidazolidine (II) by means of NaOH in dioxane - water. The acid chloride (II) is prepared by reaction of 2-imidazolidone (VI) with methanesulfonyl chloride (VII) in refluxing THF to give N-methylsulfonyl-2-imidazolidone (VIII), which is then condensed with phosgene by means of trimethylchlorosilane and triethylamine in dioxane.

Drug Information Express,Drug R&D,Chemical Database,Patent Search.
Copyright © 2006-2026 Drug Future. All rights reserved.Contact Us