【药物名称】TR-9109
化学结构式(Chemical Structure):
参考文献No.38093
标题:Inhibitors of alpha4beta1 mediated cell adhesion
作者:Rishton, G.; Chrusciel, R.A.; Yamagishi, M.; Polinsky, A.; Thomas, E.W.; Lobl, T.J.; Tanis, S.P.; Teegarden, B.; Fisher, J.F. (Pharmacia Corp.; Tanabe Seiyaku Co., Ltd.)
来源:EP 0991619; WO 9858902
合成路线图解说明:

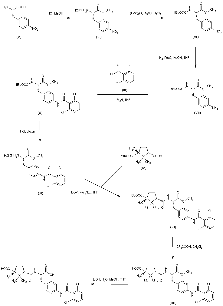
Fischer esterification of L-4-nitrophenylalanine (V) afforded nitrophenylalanine methyl ester (VI), which was then protected as the tert-butyl carbamate (VII) using (Boc)2O. Reduction of the nitro group of (VII) by catalytic hydrogenation gave aniline (VIII). Subsequent coupling of (VIII) with 2,6-dichlorobenzoyl chloride (IX) generated amide (X). Deprotection of the Boc group of (X) using HCl in dioxan provided aminoester (XI), which was coupled with camphoric acid derivative (IV) in the presence of benzotriazolyloxy-tris(dimethylamino)phosphonium hexafluoro-phosphate (BOP) to yield amide (XII). Deprotection of the tert-butyl ester group of (XII) by means of trifluoroacetic acid gave acid (XIII). Finally, the methyl ester group of (XIII) was hydrolyzed with LiOH to furnish the title compound.

合成路线图解说明:

Partial esterification of (1R,3S)-camphoric acid (I) with MeOH and HCl produced mono methyl ester (II). Further esterification of (II) with isobutylene in the presence of H2SO4 yielded the corresponding methyl tert-butyl ester, which was selectively hydrolyzed with LiOH to provide camphoric acid mono tert-butyl ester (III). From this, intermediate (X) was synthesized by two related methods. Fischer esterification of L-4-nitrophenylalanine (IV) afforded nitrophenylalanine methyl ester (V), which was then coupled with camphoric acid derivative (IV) in the presence of benzotriazolyloxy-tris(dimethylamino)-phosphonium hexafluorophosphate (BOP) to yield amide (VI). Then, reduction of the nitro group of (VI) by catalytic hydrogenation gave aniline (X). In an alternative procedure, N-Boc-4-(carbobenzoxyamino)-L-phenylalanine (VII) was deprotected and esterified with MeOH and HCl to provide 4-(carbobenzoxyamino)phenylalanine methyl ester (VIII). Coupling of (VIII) with camphoric acid derivative (III) as above produced amide (IX). Then, hydrogenolytic removal of the carbobenzoxy group of (IX) yielded aniline (X).

合成路线图解说明:

Coupling of aniline (X) with 2,4,6-trichlorobenzoyl chloride (XI) generated amide (XII). Subsequent deprotection of the tert-butyl ester group of (XII) by means of trifluoroacetic acid gave acid (XIII). Finally, the methyl ester group of (XIII) was hydrolyzed with LiOH to furnish the title compound.

参考文献No.546370
标题:Discovery of TR-9109: A novel small molecule inhibitor of alpha4beta1 integrin mediated cell adhesion
作者:Teegarden, B.R.; Rishton, G.M.; Yamagishi, M.; et al.
来源:217th ACS Natl Meet (March 21 1999, Anaheim) 1999,Abst MEDI 58
合成路线图解说明:

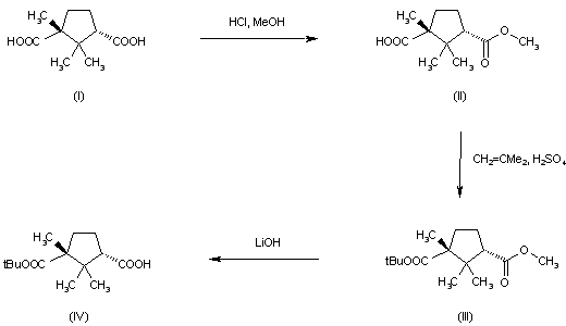
Partial esterification of (1R,3S)-camphoric acid (I) with MeOH and HCl produced mono methyl ester (II). Further esterification with isobutylene in the presence of H2SO4 yielded methyl tert-butyl ester (III). The methyl ester group of (III) was then selectively hydrolyzed with LiOH to provide tert-butyl ester (IV).

合成路线图解说明:

Partial esterification of (1R,3S)-camphoric acid (I) with MeOH and HCl produced mono methyl ester (II). Further esterification of (II) with isobutylene in the presence of H2SO4 yielded the corresponding methyl tert-butyl ester, which was selectively hydrolyzed with LiOH to provide camphoric acid mono tert-butyl ester (III). From this, intermediate (X) was synthesized by two related methods. Fischer esterification of L-4-nitrophenylalanine (IV) afforded nitrophenylalanine methyl ester (V), which was then coupled with camphoric acid derivative (IV) in the presence of benzotriazolyloxy-tris(dimethylamino)-phosphonium hexafluorophosphate (BOP) to yield amide (VI). Then, reduction of the nitro group of (VI) by catalytic hydrogenation gave aniline (X). In an alternative procedure, N-Boc-4-(carbobenzoxyamino)-L-phenylalanine (VII) was deprotected and esterified with MeOH and HCl to provide 4-(carbobenzoxyamino)phenylalanine methyl ester (VIII). Coupling of (VIII) with camphoric acid derivative (III) as above produced amide (IX). Then, hydrogenolytic removal of the carbobenzoxy group of (IX) yielded aniline (X).

Drug Information Express,Drug R&D,Chemical Database,Patent Search.
Copyright © 2006-2026 Drug Future. All rights reserved.Contact Us