【药物名称】PNU-173995
化学结构式(Chemical Structure):
参考文献No.37899
标题:Oxazolidinone antibacterial agents having a thiocarbonyl functionality
作者:Hester, J.B. Jr.; Perricone, S.C.; Nidy, E.G.; Poel, T.-J. (Pharmacia Corp.)
来源:EP 0984947; JP 2002501530; US 6218413; WO 9854161
合成路线图解说明:

Deprotection of the benzyloxycarbonyl piperazine (I) by catalytic hydrogenolysis provided the secondary amine (II), which was then acylated by benzyloxyacetyl chloride (III) to afford amide (IV). After activation of the hydroxyl group of (IV) as the sulfonate (VI) by treatment with 3-nitrobenzenesulfonyl chloride (V), its displacement with ammonium hydroxide provided the amine (VII). The O-benzyl group of (VII) was then removed by hydrogenolysis, yielding alcohol (VIII). Finally, acylation of the primary amino group of (VIII) with ethyl dithioacetate (IX) in the presence of KOH and NaF gave rise to the title thioacetamide.

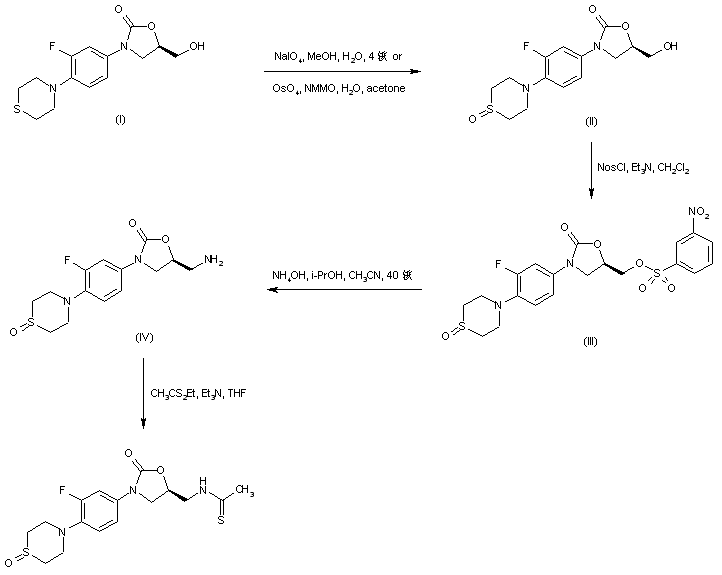
合成路线图解说明:

The known thiomorpholine derivative (I) was oxidized to the corresponding sulfoxide (II) employing either sodium metaperiodate or osmium tetroxide in the presence of N-methylmorpholine-N-oxide. Sulfonylation of the primary hydroxyl group of (II) with 3-nitrobenzenesulfonyl chloride and Et3N gave rise to the nosylate (IV), which was then displaced with ammonium hydroxide to furnish amine (IV). This was finally condensed with ethyl dithioacetate to produce the target thioacetamide.

Drug Information Express,Drug R&D,Chemical Database,Patent Search.
Copyright © 2006-2026 Drug Future. All rights reserved.Contact Us