【药物名称】R-113281
化学结构式(Chemical Structure):
参考文献No.36905
标题:Azaheterocyclic cpds. having tachykinin receptor antagonist activity; NK1 and NK2
作者:Kurata, H.; Ito, K.; Nakajima, K.; Yamaguchi, T.; Ishibashi, K.; Fukuzawa, T.; Nishi, T. (Sankyo Co., Ltd.)
来源:EP 0776893; JP 1998152478; JP 1998182649; JP 1998182650
合成路线图解说明:

Lithiation of 2-bromobenzyl thiol (I) followed by addition to N-Boc-4-piperidone (II) gave mercapto alcohol (III), which was cyclized to the spiro derivative by refluxing in 4N sulfuric acid. Protection as the tert-butyl carbamate (IV), followed by oxidation with m-chloroperbenzoic acid produced sulfoxide (V). After acid cleavage of the Boc protecting group of (V), resolution with (S)-(+)-mandelic acid furnished the required (S)-enantiomer (VII). Alternatively, asymmetric oxidation of sulfide (IV) with (3'S,2R)-(-)-N-(phenylsulfonyl)(3,3-dichlorocamphoryl)oxaziridine produced the (S)-sulfoxide (VI), which was further deprotected to (VII) with HCl in dioxan.

合成路线图解说明:

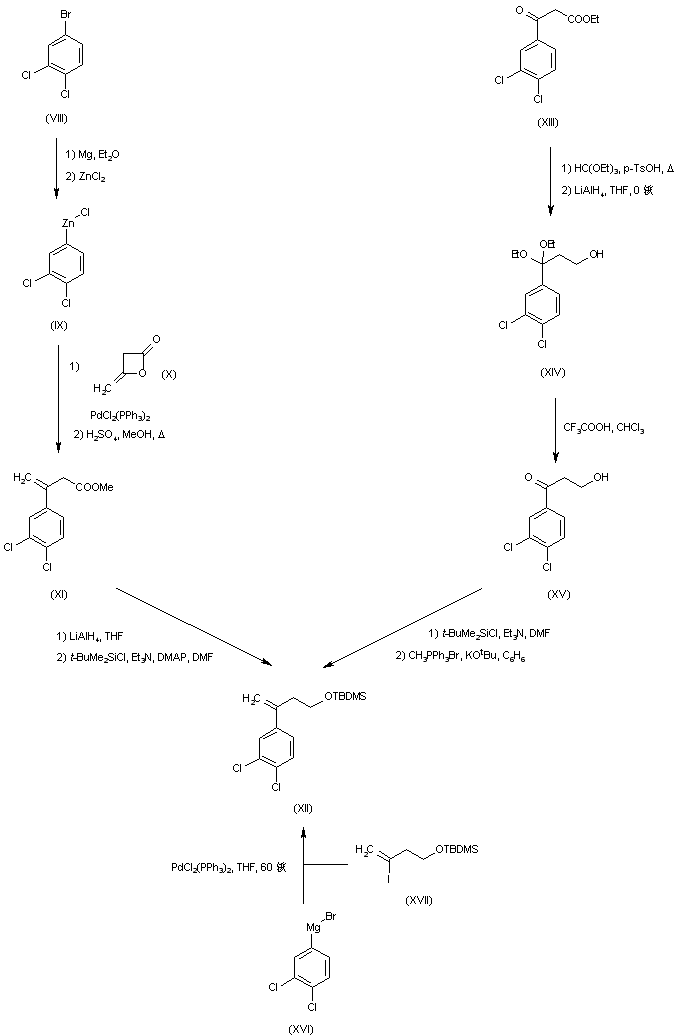
The intermediate 3-(3,4-dichlorophenyl)-3-buten-1-ol silyl ether (XII) was prepared by several procedures: 1) Addition of the organozinc reagent (IX) (generated from 1-bromo-3,4-dichlorobenzene (VIII)) to diketene (X) in the presence of palladium catalyst, followed by esterification with MeOH and H2SO4 furnished 3-arylbutenoate methyl ester (XI), which was reduced to alcohol with LiAlH4 and then silylated with tert-butyldimethylsilyl chloride to give silyl ether (XII). 2) In an alternative procedure, ethyl 3-(3,4-dichlorophenyl)-3-oxopropionate (XIII) was protected with triethyl orthoformate in the presence of p-toluenesulfonic acid and then reduced to alcohol (XIV) with LiAlH4. Ketal deprotection of (XIV) with trifluoroacetic acid provided hydroxy ketone (XV). After silylation of (XV) with tert-butyldimethylsilyl chloride, subsequent Wittig condensation with methylene triphenylphosphorane gave intermediate silyl eher (XII). 3) In a further procedure, the Grignard reagent (XVI) (generated from 1-bromo-3,4-dichlorobenzene (VIII)) was coupled with 3-iodo-3-buten-1-ol silyl ether (XVII) in the presence of palladium catalyst to furnish intermediate ether (XII).

合成路线图解说明:

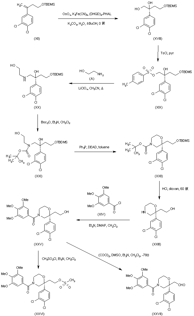
Asymmetric dihydroxylation of intermeddiate silylated olefin (XII) employing potassium ferricyanide in the presence of osmium tetraoxide and the chiral auxiliary hydroquinidine 1,4-phthalazindiyl diether produced diol (XVIII). After conversion of the primary hydroxyl group of (XVIII) to the corresponding tosylate (XIX), displacement with ethanolamine yielded hydroxy amine (XX). Protection of (XX) as the Boc derivative (XXI), followed by cyclization under Mitsunobu conditions gave rise to morpholine (XXII). The Boc and silyl groups of (XXII) were then deprotected with HCl in dioxan, and the deprotected morpholine (XXIII) was acylated with 3,4,5-trimethoxybenzoyl chloride (XXIV) to produce amide (XXV). The alcohol group of (XXV) was then converted to mesylate (XXVI) using methanesulfonyl chloride and triethylamine. Optionally, the alchohol group was subjected to Swern oxidation, affording aldehyde (XXVII).

合成路线图解说明:

The title compound was then prepared by two alternative procedures: Piperidine (VII) was alkylated with mesylate (XXVI) to produce the desired tertiary amine. Alternatively, aldehyde (XXVII) was reductively condensed with piperidine (VII) in the presence of NaBH3CN. The compound was finally converted to the hydrochloride salt.

参考文献No.37917
标题:Salts of optically active sulfoxide deriv.
作者:Nishi, T.; Yamaguchi, T. (Sankyo Co., Ltd.)
来源:EP 0987269; JP 1999043490; WO 9854191
合成路线图解说明:

Lithiation of 2-bromobenzyl thiol (I) followed by addition to N-Boc-4-piperidone (II) gave mercapto alcohol (III), which was cyclized to the spiro derivative by refluxing in 4N sulfuric acid. Protection as the tert-butyl carbamate (IV), followed by oxidation with m-chloroperbenzoic acid produced sulfoxide (V). After acid cleavage of the Boc protecting group of (V), resolution with (S)-(+)-mandelic acid furnished the required (S)-enantiomer (VII). Alternatively, asymmetric oxidation of sulfide (IV) with (3'S,2R)-(-)-N-(phenylsulfonyl)(3,3-dichlorocamphoryl)oxaziridine produced the (S)-sulfoxide (VI), which was further deprotected to (VII) with HCl in dioxan.

合成路线图解说明:

The intermediate 3-(3,4-dichlorophenyl)-3-buten-1-ol silyl ether (XII) was prepared by several procedures: 1) Addition of the organozinc reagent (IX) (generated from 1-bromo-3,4-dichlorobenzene (VIII)) to diketene (X) in the presence of palladium catalyst, followed by esterification with MeOH and H2SO4 furnished 3-arylbutenoate methyl ester (XI), which was reduced to alcohol with LiAlH4 and then silylated with tert-butyldimethylsilyl chloride to give silyl ether (XII). 2) In an alternative procedure, ethyl 3-(3,4-dichlorophenyl)-3-oxopropionate (XIII) was protected with triethyl orthoformate in the presence of p-toluenesulfonic acid and then reduced to alcohol (XIV) with LiAlH4. Ketal deprotection of (XIV) with trifluoroacetic acid provided hydroxy ketone (XV). After silylation of (XV) with tert-butyldimethylsilyl chloride, subsequent Wittig condensation with methylene triphenylphosphorane gave intermediate silyl eher (XII). 3) In a further procedure, the Grignard reagent (XVI) (generated from 1-bromo-3,4-dichlorobenzene (VIII)) was coupled with 3-iodo-3-buten-1-ol silyl ether (XVII) in the presence of palladium catalyst to furnish intermediate ether (XII).

合成路线图解说明:

Asymmetric dihydroxylation of intermeddiate silylated olefin (XII) employing potassium ferricyanide in the presence of osmium tetraoxide and the chiral auxiliary hydroquinidine 1,4-phthalazindiyl diether produced diol (XVIII). After conversion of the primary hydroxyl group of (XVIII) to the corresponding tosylate (XIX), displacement with ethanolamine yielded hydroxy amine (XX). Protection of (XX) as the Boc derivative (XXI), followed by cyclization under Mitsunobu conditions gave rise to morpholine (XXII). The Boc and silyl groups of (XXII) were then deprotected with HCl in dioxan, and the deprotected morpholine (XXIII) was acylated with 3,4,5-trimethoxybenzoyl chloride (XXIV) to produce amide (XXV). The alcohol group of (XXV) was then converted to mesylate (XXVI) using methanesulfonyl chloride and triethylamine. Optionally, the alchohol group was subjected to Swern oxidation, affording aldehyde (XXVII).

合成路线图解说明:

The title compound was then prepared by two alternative procedures: Piperidine (VII) was alkylated with mesylate (XXVI) to produce the desired tertiary amine. Alternatively, aldehyde (XXVII) was reductively condensed with piperidine (VII) in the presence of NaBH3CN. The compound was finally converted to the hydrochloride salt.

Drug Information Express,Drug R&D,Chemical Database,Patent Search.
Copyright © 2006-2026 Drug Future. All rights reserved.Contact Us