【药物名称】
化学结构式(Chemical Structure):
参考文献No.486203
标题:2-Amino-3-substituted-6-[(E)-1-phenyl-2-(N-methylcarbamoyl)vinyl]imidazo[1,2-a]pyridines as a novel class of inhibitors of human rhinovirus: Stereospecific synthesis and antiviral activity
作者:Hamdouchi, C.; de Blas, J.; del Prado, M.; Gruber, J.; Heinz, B.A.; Vance, L.
来源:J Med Chem 1999,42(1),50
合成路线图解说明:

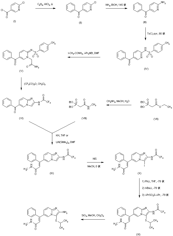
Friedel-Crafts acylation of benzene with 6-chloronicotinyl chloride (I) using AlCl3 afforded ketone (II). Subsequent displacement of the chlorine atom of (II) by means of ethanolic ammonia at 145 C in a pressure reactor led to the aminopyridine (III), which was converted to sulfonamide (IV) by means of tosyl chloride in pyridine. Alkylation of the pyridine N of (IV) with iodoacetamide gave (V), and further cyclization in the presence of trifluoroacetic anhydride produced the imidazopyridine (VI). Phosphonate (VIII) was prepared by treatment of triethyl phosphonoacetate (VII) with methylamine. Horner-Emmons condensation of this phosphonate with ketone (VI) yielded the E-propenamide (IX). Selective iodination of (IX) at position 3 using N-iodosuccinimide furnished iodide (X). This compound was first deprotonated with PhLi, then subjected to a halogen-metal exchange reaction with tert-butyllithium, and the resulting trianion was reacted with isopropyl isopropanethiolsulfonate to give sulfide (XI). Finally, smooth hydrolysis of the trifluoroacetamide group of (XI) employing MeOH-CH2Cl2 in the presence of silica gel provided the title compound.

Drug Information Express,Drug R&D,Chemical Database,Patent Search.
Copyright © 2006-2026 Drug Future. All rights reserved.Contact Us