【药物名称】
化学结构式(Chemical Structure):
参考文献No.39034
标题:New imidapiperazine derivs.
作者:K. Rovat, T.; Oesanz Mu駉, L.M.; Fern醤dez Velando, E.; L髉ez Rodr韌uez, M.L.; Rosado Samitier, M.L.; Morcillo Ortega, M.J. (Universidad Complutense de Madrid)
来源:ES 2094690
合成路线图解说明:

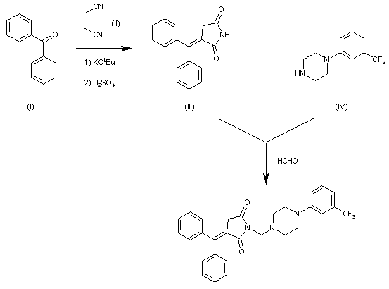
The reaction of benzophenone (I) with succinodinitrile (II) by means of potassium tert-butoxide in refluxing tert-butanol, followed by a treatment with refluxing 10% sulfuric acid gives 3-(diphenylmethylene)pyrrolidine-2,5-dione (III), which is then consdensed with 4-[3-(trifluoromethyl)phenyl]piperazine (IV) and formaldehyde in refluxing ethanol.

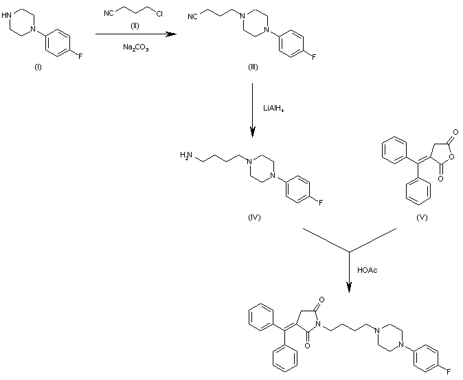
合成路线图解说明:

The reaction of 1-(4-fluorophenyl)piperazine (I) with 4-chlorobutyronitrile (II) by means of Na2CO3 in refluxing acetonitrile gives 4-[4-(4-fluorophenyl) piperazin-1-yl]butyronitrile (III), which is reduced with LiAlH4 in THF yielding 1-(4-aminobutyl)-4-(4-fluorophenyl)piperazine (IV). Finally, this compound is condensed with 2-(diphenylmethylene)succinic anhydride (V) in refluxing acetic acid.

参考文献No.486202
标题:Synthesis and structure-activity relationships of a new model of arylpiperazines. 4. 1-[omega-(4-Arylpiperazin-1-yl)alkyl]-3-(diphenylmethylene)-2,5-pyrrolidinediones and -3-(9H-fluoren-9-ylidene)-2,5-pyrrolidinediones: Study of the steric requirements of
作者:L髉ez-Rodr韌uez, M.L.; Morcillo, M.J.; Rovat, T.K.; Fernandez, E.; Vicente, B.; Sanz, A.M.; Hernandez, M.; Orensanz, L.
来源:J Med Chem 1999,42(1),36
合成路线图解说明:

The reaction of benzophenone (I) with succinodinitrile (II) by means of potassium tert-butoxide in refluxing tert-butanol, followed by a treatment with refluxing 10% sulfuric acid gives 3-(diphenylmethylene)pyrrolidine-2,5-dione (III), which is then consdensed with 4-[3-(trifluoromethyl)phenyl]piperazine (IV) and formaldehyde in refluxing ethanol.

合成路线图解说明:

The reaction of 1-(4-fluorophenyl)piperazine (I) with 4-chlorobutyronitrile (II) by means of Na2CO3 in refluxing acetonitrile gives 4-[4-(4-fluorophenyl) piperazin-1-yl]butyronitrile (III), which is reduced with LiAlH4 in THF yielding 1-(4-aminobutyl)-4-(4-fluorophenyl)piperazine (IV). Finally, this compound is condensed with 2-(diphenylmethylene)succinic anhydride (V) in refluxing acetic acid.

参考文献No.530479
标题:1-[omega-(4-Arylpiperazin-1-yl)alkyl]-3-diphenylmethylene-2,5-pyrrolidinediones as 5-HT1A receptor ligands: Study of the steric requirements of the terminal amide fragment on 5-HT1A affinity/selectivity
作者:L髉ez-Rodr韌uez, M.L.; Morcillo, M.J.; Rovat, T.K.; Fern醤dez, E.; Sanz, A.M.; Orensanz, L.
来源:Bioorg Med Chem Lett 1998,8(6),581
合成路线图解说明:

The reaction of benzophenone (I) with succinodinitrile (II) by means of potassium tert-butoxide in refluxing tert-butanol, followed by a treatment with refluxing 10% sulfuric acid gives 3-(diphenylmethylene)pyrrolidine-2,5-dione (III), which is then consdensed with 4-[3-(trifluoromethyl)phenyl]piperazine (IV) and formaldehyde in refluxing ethanol.

合成路线图解说明:

The reaction of 1-(4-fluorophenyl)piperazine (I) with 4-chlorobutyronitrile (II) by means of Na2CO3 in refluxing acetonitrile gives 4-[4-(4-fluorophenyl) piperazin-1-yl]butyronitrile (III), which is reduced with LiAlH4 in THF yielding 1-(4-aminobutyl)-4-(4-fluorophenyl)piperazine (IV). Finally, this compound is condensed with 2-(diphenylmethylene)succinic anhydride (V) in refluxing acetic acid.

Drug Information Express,Drug R&D,Chemical Database,Patent Search.
Copyright © 2006-2025 Drug Future. All rights reserved.Contact Us