【药物名称】
化学结构式(Chemical Structure):
参考文献No.486201
标题:Potent inhibition of Grb2 SH2 domain binding by non-phosphate-containing ligands
作者:Yao, Z.-J.; King, C.R.; Cao, T.; Kelley, J.; Milne, G.W.; Voigt, J.H.; Burke, T.R. Jr.
来源:J Med Chem 1999,42(1),25
合成路线图解说明:

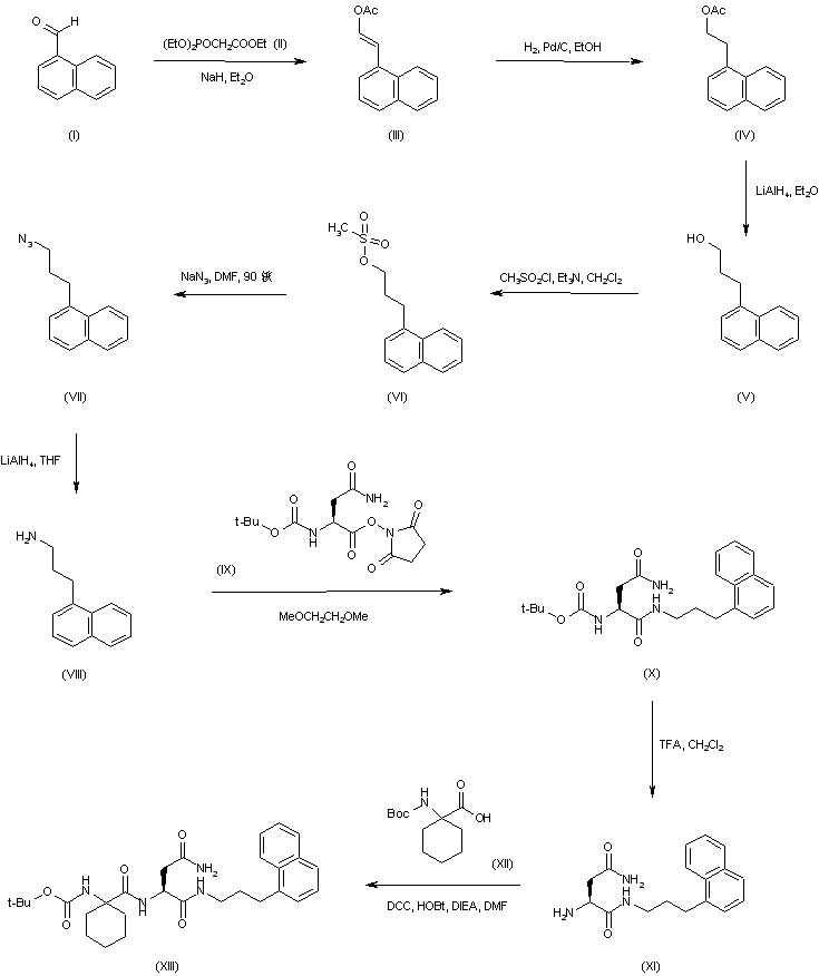
Horner-Emmons reaction of 1-naphthaldehyde (I) with triethyl phosphonoacetate (II) gave naphthyl propenoate (III), which was hydrogenated over Pd/C to afford propanoate (IV), and further reduced to alcohol (V) with LiAlH4. The required naphthyl propylamine (VIII) was then obtained by the sequence of conversion of (V) to mesylate (VI), displacement by NaN3, and reduction of the resulting azide (VII) with LiAlH4. After coupling of (VIII) with N-Boc-L-asparagine N-hydroxysuccinimidyl ester (IX) to give (X), the N-Boc group was deprotected using trifluoroacetic acid in CH2Cl2 to afford amine (XI). Subsequent coupling of (XI) with N-Boc-1-amino-1-cyclohexanecarboxylic acid (XII) by means of DCC and HOBt gave (XIII).

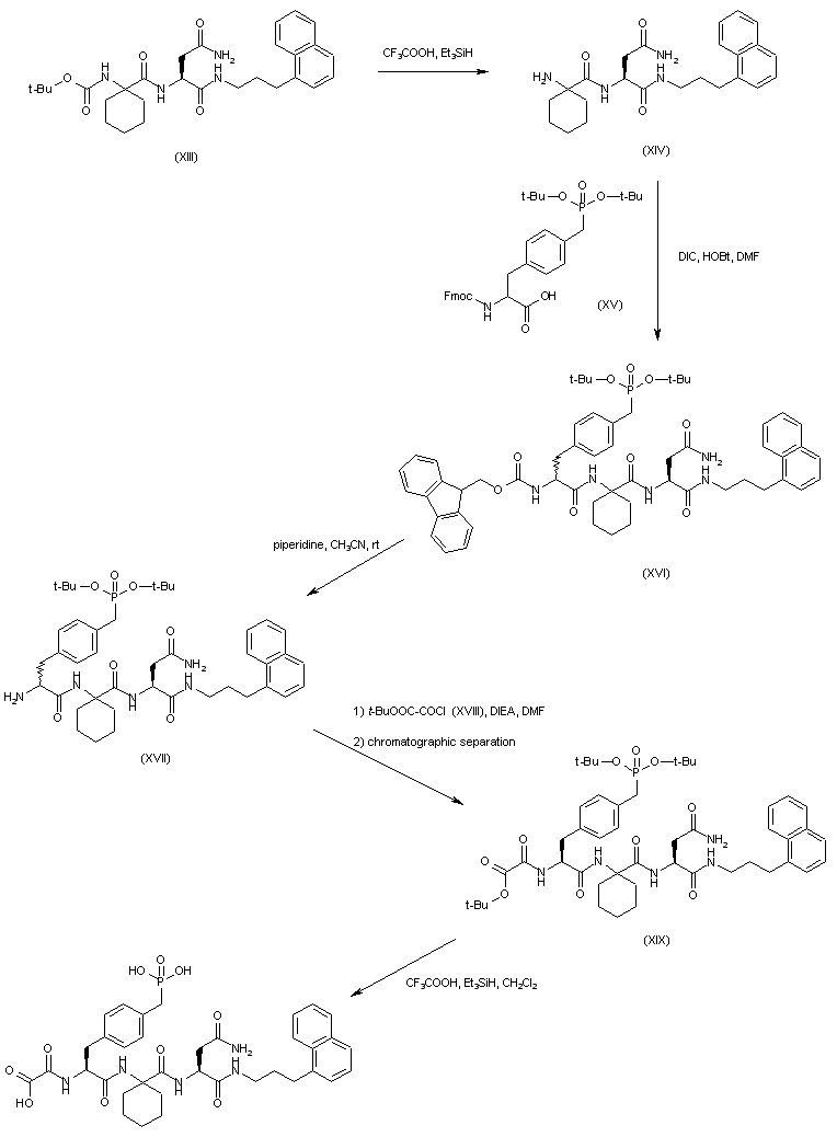
合成路线图解说明:

The deprotection of (XIII) with trifluoroacetic acid in the presence of triethyl silane provided dipeptide amide (XIV). This was then coupled with the racemic (phosphonomethyl)phenylalanine derivative (XV) using diisopropyl carbodiimide (DIC) and HOBt to yield tripeptide (XVI) as a diastereomeric mixture. The Fmoc group of (XVI) was deprotected with piperidine in acetonitrile, and the resulting amine (XVII) was then coupled with tert-butyl oxalyl chloride (XVIII) to afford (XIX). After chromatographic isolation of the required L,L-diastereoisomer of (XIX), treatment with trifluoroacetic acid cleaved the tert-butyl groups to furnish the title compound.

Drug Information Express,Drug R&D,Chemical Database,Patent Search.
Copyright © 2006-2026 Drug Future. All rights reserved.Contact Us