【药物名称】
化学结构式(Chemical Structure):
参考文献No.37400
标题:Certain cyclic thio substd. acylaminoacid amide derivs.
作者:Fink, C.A. (Novartis AG)
来源:EP 0966439; US 6034136; WO 9842662
合成路线图解说明:

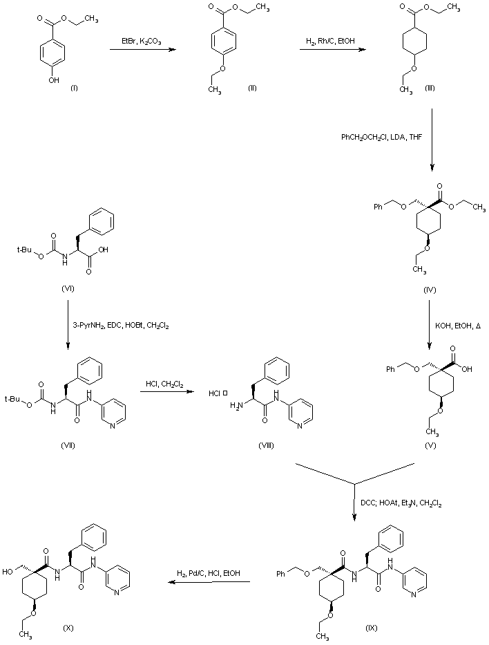
Ethyl 4-hydroxybenzoate (I) was alkylated with EtI and K2CO3 to afford ethyl ether (II). Subsequent hydrogenation of (II) over Rh/C produced ethyl 4-ethoxycyclohexane carboxylate (III) (1). Then, alkylation of (III) using benzyl chloromethyl ether and LDA gave the benzyloxymethyl compound (IV), which was hydrolyzed with ethanolic KOH to the carboxylic acid (V). Coupling of N-Boc-L-phenylalanine (VI) with benzylamine in the presence of EDC and HOBt produced amide (VII), and further acid deprotection of the Boc group of (VII) yielded phenylalanine-N-benzylamide (VIII). This was coupled with carboxylic acid (V) by means of DCC and HOAt to provide diamide (IX), which was debenzylated by catalytic hydrogenation yielding alcohol (X).

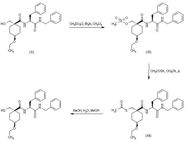
合成路线图解说明:

The mesylation of alcohol (X) yielded mesylate (XI), which was treated with potassium thioacetate to afford the thioacetate ester (XII). Finally, this thioacetate was hydrolyzed to the target thiol with NaOH.

合成路线图解说明:

Ethyl 4-hydroxybenzoate (I) was alkylated with EtI and K2CO3 to afford ethyl ether (II). Subsequent hydrogenation of (II) over Rh/C produced ethyl 4-ethoxycyclohexane carboxylate (III) (1). Then, alkylation of (II) using benzyl chloromethyl ether and LDA gave the benzyloxymethyl compound (IV), which was hydrolyzed with ethanolic KOH to the carboxylic acid (V). Coupling of N-Boc-L-phenylalanine (VI) with 3-pyridylamine in the presence of EDC and HOBt produced amide (VII), and further acid deprotection of the Boc group of (VII) yielded phenylalanine-N-(3-pyridyl)amide (VIII). This was coupled with carboxylic acid (V) by means of DCC and HOAt to provide diamide (IX), which was debenzylated by catalytic hydrogenation yielding alcohol (X).

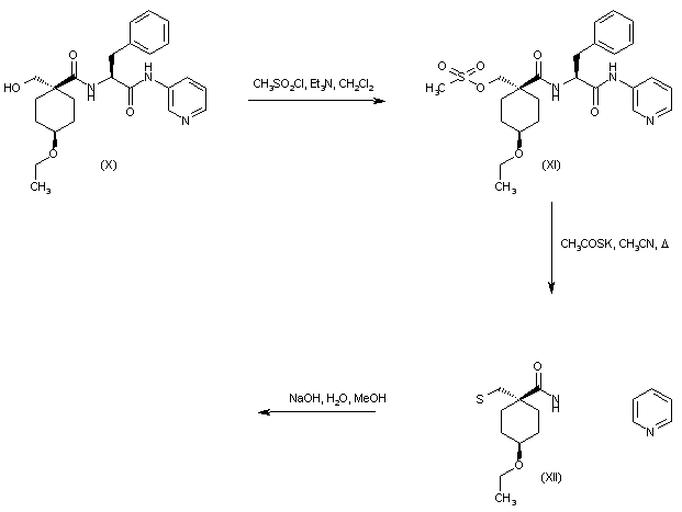
合成路线图解说明:

The mesylation of alcohol (X) yielded mesylate (XI), which was treated with potassium thioacetate to afford the thioacetate ester (XII). Finally, this thioacetate was hydrolyzed to the target thiol with NaOH.

参考文献No.485784
标题:Design and synthesis of thiol containing inhibitors of matrix metalloproteinases
作者:Fink, C.A.; Carlson, J.E.; Boehm, C.; McTaggart, P.; Qiao, Y.; Doughty, J.; Ganu, V.; Melton, R.; Goldberg, R.
来源:Bioorg Med Chem Lett 1999,9(2),195
合成路线图解说明:

Ethyl 4-hydroxybenzoate (I) was alkylated with EtI and K2CO3 to afford ethyl ether (II). Subsequent hydrogenation of (II) over Rh/C produced ethyl 4-ethoxycyclohexane carboxylate (III) (1). Then, alkylation of (III) using benzyl chloromethyl ether and LDA gave the benzyloxymethyl compound (IV), which was hydrolyzed with ethanolic KOH to the carboxylic acid (V). Coupling of N-Boc-L-phenylalanine (VI) with benzylamine in the presence of EDC and HOBt produced amide (VII), and further acid deprotection of the Boc group of (VII) yielded phenylalanine-N-benzylamide (VIII). This was coupled with carboxylic acid (V) by means of DCC and HOAt to provide diamide (IX), which was debenzylated by catalytic hydrogenation yielding alcohol (X).

合成路线图解说明:

The mesylation of alcohol (X) yielded mesylate (XI), which was treated with potassium thioacetate to afford the thioacetate ester (XII). Finally, this thioacetate was hydrolyzed to the target thiol with NaOH.

合成路线图解说明:

Ethyl 4-hydroxybenzoate (I) was alkylated with EtI and K2CO3 to afford ethyl ether (II). Subsequent hydrogenation of (II) over Rh/C produced ethyl 4-ethoxycyclohexane carboxylate (III) (1). Then, alkylation of (II) using benzyl chloromethyl ether and LDA gave the benzyloxymethyl compound (IV), which was hydrolyzed with ethanolic KOH to the carboxylic acid (V). Coupling of N-Boc-L-phenylalanine (VI) with 3-pyridylamine in the presence of EDC and HOBt produced amide (VII), and further acid deprotection of the Boc group of (VII) yielded phenylalanine-N-(3-pyridyl)amide (VIII). This was coupled with carboxylic acid (V) by means of DCC and HOAt to provide diamide (IX), which was debenzylated by catalytic hydrogenation yielding alcohol (X).

合成路线图解说明:

The mesylation of alcohol (X) yielded mesylate (XI), which was treated with potassium thioacetate to afford the thioacetate ester (XII). Finally, this thioacetate was hydrolyzed to the target thiol with NaOH.

Drug Information Express,Drug R&D,Chemical Database,Patent Search.
Copyright © 2006-2026 Drug Future. All rights reserved.Contact Us