【药物名称】ALS-007
化学结构式(Chemical Structure):
参考文献No.485781
标题:Indolocarbazole poisons of human topoisomerase I: Regioisomeric analogues of ED-110
作者:Zembower, D.E.; Zhang, H.; Lineswala, J.P.; Kuffel, M.J.; Aytes, S.A.; Ames, M.M.
来源:Bioorg Med Chem Lett 1999,9(2),145
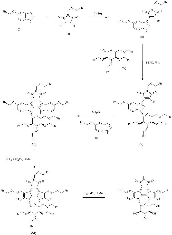
合成路线图解说明:

Condensation of the magnesium iodide salt of 5-(benzyloxy)indole (I) with N-(benzyloxymethyl)-3,4-dibromomaleimide (II) provided the monoindolyl maleimide (III). Coupling of (III) with the benzyl-protected glucose (IV) via Mitsunobu reaction afforded the glycosylated indole (V). A second indolyl group was then introduced in (V) to give the bisindolylmaleimide (VI), which was oxidatively cyclized to the indolocarbazole (VII) using palladium bis(trifluoroacetate). Finally, hydrogenolysis of the benzyl protecting groups of (VII) over Pd/C furnished the title compound.

Drug Information Express,Drug R&D,Chemical Database,Patent Search.
Copyright © 2006-2026 Drug Future. All rights reserved.Contact Us